1/21
Looks like no tags are added yet.
Name | Mastery | Learn | Test | Matching | Spaced |
|---|
No study sessions yet.
Monosaccharide Carbohydrate

Disaccharide Carbohydrate

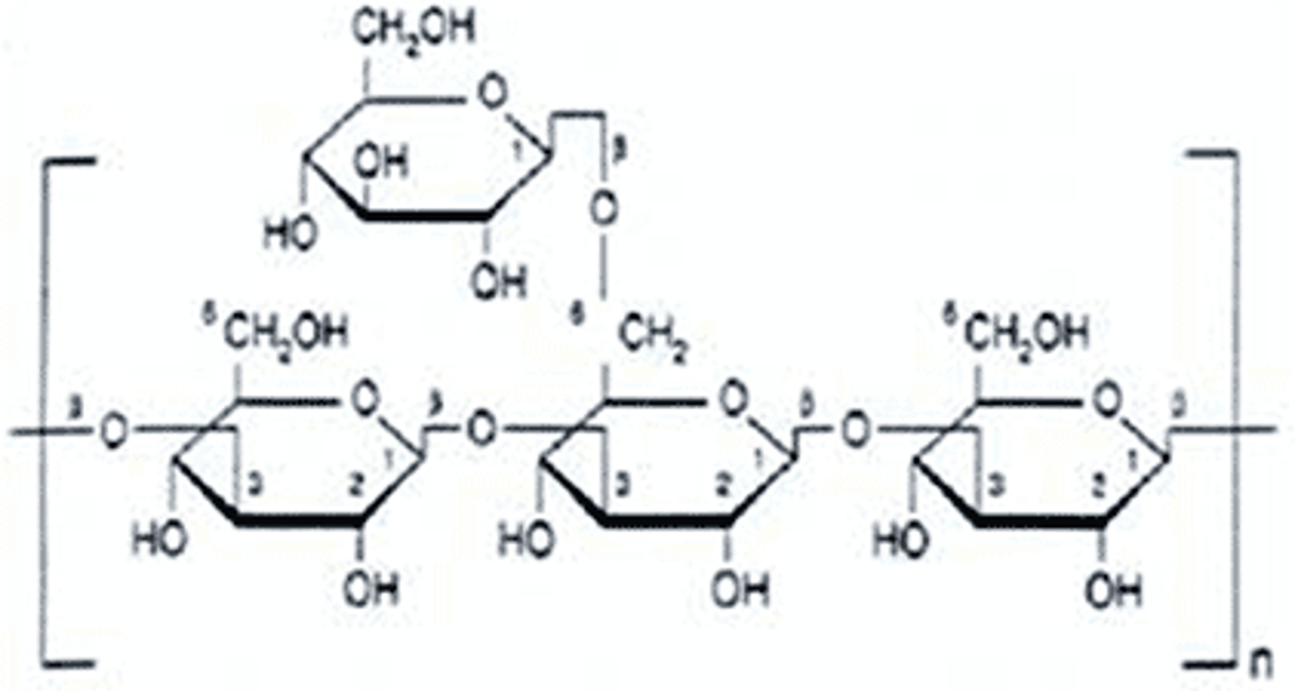
Polysaccharide Carbohydrate

Starch Carbohydrate

Cellulose Carbohydrate

Glycogen Carbohydrate

Glycerol Lipid

Saturated Fatty Acid Lipid

Unsaturated Fatty Acid Lipid

Triglyceride Lipid

Phospholipid Lipid

Cholesterol Lipid

Amino Acid Protein

Protein

Polypeptide Protein

Peptide Bond Protein

Enzyme Protein

Nucleotide Nucleic Acid

Phosphate Group Nucleic Acid

Nitrogen Bases Nucleic Acid

DNA Nucleic Acid

RNA Nucleic Acid
