1/93
Name | Mastery | Learn | Test | Matching | Spaced | Call with Kai |
|---|
No study sessions yet.

amine

alcohol

silane

alkane

ammonium

ether

phosphine

alkene

aziridine

epoxide

thiol

alkyne

hydrazine

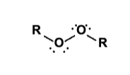
peroxide

thioether

aromatic
hydrocarbon

amide

alkoxide

disulfide

haloalkane

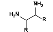
diamine

diol

selenol

amine

alcohol

silane

alkane

ammonium

ether

phosphine

alkene

aziridine

epoxide

thiol

alkyne

hydrazine

peroxide

thioether

aromatic hydrocarbon

amide

alkoxide

disulfide

haloalkane

diamine

diol

selenol

aldehyde

aldehyde

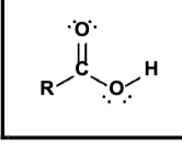
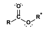
hemiacetal

hemiacetal

carboxylic acid

carboxylic acid

acyl halide

acyl halide

ketone

ketone

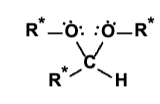
acetal

acetal

ester

ester

amide

amide

imine

imine

hemiketal

hemiketal

lactone

lactone

lactam

lactam

azo

azo

ketal

ketal

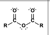
anhydride

anhydride

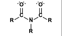
imide

imide

azide

azide

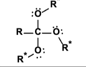
orthoester

orthoester

carboxylate

carboxylate

carbamate

carbamate

nitrile

nitrile

nitro

nitro

carbonate

carbonate

urea

urea