1/10
Looks like no tags are added yet.
Name | Mastery | Learn | Test | Matching | Spaced | Call with Kai |
|---|
No analytics yet
Send a link to your students to track their progress
Geometric Sequence
In a geometric sequence, there is a common ratio ‘r’ between consecutive terms in the sequence
A geometric sequence can be increasing (r > 1) or decreasing (0 < r < 1)
Common Ratio - r
The constant ratio between consecutive terms in a geometric sequence
If the common ratio is a negative number the terms will alternate between positive and negative values
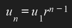
Geometric Sequence Formula - Finding the nth Term

Solving Geometric Sequence Problems
Given a term and asked to find the first term or the common ratio
Substitute the information into the formula and solve the equation
Given two or more consecutive terms and asked to find both the first term and the common ratio
Find the common ratio by dividing a term by the one before it
Substitute this and one of the terms into the formula to find the first term
Given a term and the formula for the nth term and asked to find the value of ‘n’
Solve these using logarithms as this type of problem sets up as an exponential equation
Geometric Series
A geometric series is the sum of a certain number of terms in a geometric sequence
Geometric Series Formula - Sum of the First ‘n’ Terms
The left version is more convenient if r > 1
The right version is more convenient if r < 1

Solving Geometric Series Problems
Given the sum of a certain number of terms and asked to find the value of the first term, the common ratio, or the number of terms within the sequence
Substitute the information into the formula and solve the equation
Sum to Infinity
A geometric sequence will either increase (positive numbers) or decrease (negative numbers) away from zero
Or the terms will get progressively closer to zero
Convergence
If the terms are getting closer to zero then the series is said to converge
This means that the sum of the series will approach a limiting value
Terms will get closer to zero if the common ratio ‘r’ is between 1 and -1
Signs of a Converging Sequence

Formula for a Converging Sequence Where |r| < 1
