1/23
Looks like no tags are added yet.
Name | Mastery | Learn | Test | Matching | Spaced | Call with Kai |
|---|
No study sessions yet.










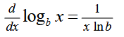
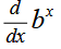
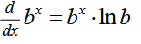
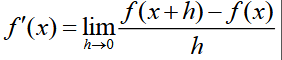
Definition of Derivative

Disc Method

Washer Method

Shell Method

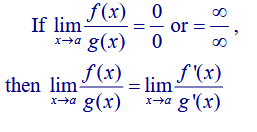
L’Hopital’s Rule

Integration by Parts

Average Rate of Change

Instantaneous Rate of Change

Mean Value Theorem (MVT) Part 2

Mean Value Theorem (MVT) Part 1

Intermediate Value Theorem (IVT)

Extreme Value Theorem (EVT)

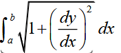
Arc Length

Riemann Sums

Trig Sub

Squeeze Theorem

Fermat’s Theorem

Comparison Theorem

Optimization
