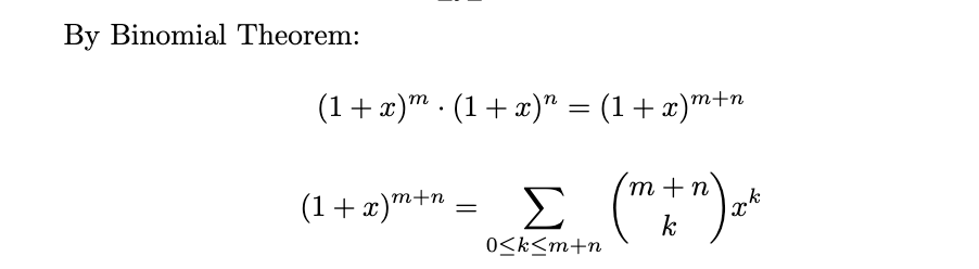
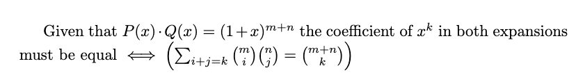
Vandermonde proof

0.0(0)
studied byStudied by 0 people
0.0(0)
full-widthCall with Kai
learnLearn
examPractice Test
spaced repetitionSpaced Repetition
heart puzzleMatch
flashcardsFlashcards
GameKnowt Play
Card Sorting

1/4

encourage image

There's no tags or description

Looks like no tags are added yet.

Study Analytics
Name
Mastery
Learn
Test
Matching
Spaced
Call with Kai

No study sessions yet.

5 Terms

1
New cards

vandermonde’s identity

2
New cards

proof 1

3
New cards

proof 2

4
New cards

proof 3

5
New cards

proof 4

Explore top flashcards