1/36
Looks like no tags are added yet.
Name | Mastery | Learn | Test | Matching | Spaced | Call with Kai |
|---|
No analytics yet
Send a link to your students to track their progress
What is a Function?
A function f:x → y is a method for assigning values in Y to values in X. Typically, X and Y will be sets of real numbers.
Terminology: X is called the domain of f
Terminology Y is called the codomain of f
Definition of Range
range f(x)={y\in\mathbb{R}:\forall x\in\mathbb{R}}
Definition of Injectivity
Suppose that I is a set of real numbers and f:I → R, then we can say that f is injective/one-to-one iff.
\forall x_1,x_2,\in I(x_1\neq x_2\rightarrow f(x_1)\neq f(x_2)) injectivity implies that there is a unique inverse.
A Function is Decreasing If
\forall x_1,x_2,\in I\left(x_1<x_2\to f\left(x_1\right)>f\left(x_2\right)\right)
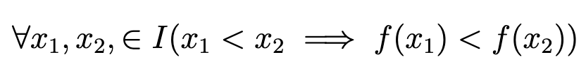
A function is increasing if

Definition of an Inverse
Suppose f: I → R is a function on an interval I. Then we can say that “f is invertible (on I)” if there is a unique function, g, such that:

Definition of Log Function
For b>0, b≠1, we define logb(x) to be the unique inverse of bx
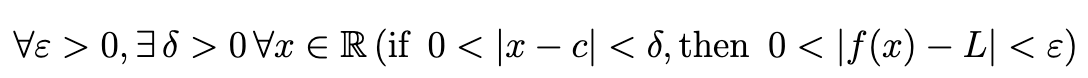
Word Definition of Epsilon-Delta Definition of a Limit
If you choose any small neighborhood around L (i.e. (L-ε, L+ε)) one can find a small enough neighborhood around c (i.e. (c-δ, c+δ)) such that if we we pick any x ∈ (c-δ, c+δ), x≠c, we get f(x) ∈ (L-ε, L+ε).
Epsilon-Delta Definition of a Limit
Assume f(x) is defined at least in a neighbourhood around a point c. We will say: limx→c f(x) = L iff

One-sided Definition of Limit (from Right)

One-sided Definition of Limit (from Left)

Definition of Continuity
Let f: I → ℝ, where I is some subset of ℝ. Assume that f is defined at least on some neighbourhood of a point c. Then we say that f(x) is continuous at the point x=c iff f(c) is defined and limx→c f(x) = f(c)
Intermediate Value Theorem
Suppose f(x) is continuous on a closed interval [a,b]:
for any d ∈ ℝ if either
f(a) ≤ d ≤ f(b) OR
f(a)≥ d ≥ f(b)
then there exists some c∈[a,b] such that f(c)=d.
Definition of a Derivative
Suppose f(x) is defined at least on a neighborhood around a point x=c. Then we can say that the derivative of f(x) at the point c (if it exists) is the limit:

Definition of Parametric Curve
A parametric curve on ℝn is described by functions x1(t), … , xn(t) of some parameter t. It is given by C: ℝ → ℝn
C(t) = (x(t), y(t))
Translates to a position in the x-y plane (in the case of ℝ → ℝ2) at time t.
Definitions of Absolute Extrema

Definition of Local Extrema
At least on some small neighbourhood surrounding c, f has a maximum or minimum restricted to that neighborhood

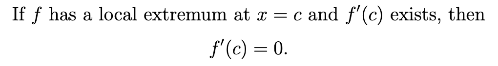
Fermat’s Theorem (local max and min)

Extreme Value Theorem
Textbook defn: If f is continuous on a closed interval [a,b], then f attains an absolute maximum value f(c) and an absolute minimum value f(d) at some numbers c and d in [a,b].
Greg defn: If f: [a,b] → \mathbb{R} is continuous then an absolute max and an absolute min exist for f on [a,b] and they must occur at a critical value (either f’(c)=0, f’(c) DNE, or c=a or c=b)
Criteria for a critical point

Mean Value Theorem
Suppose f(x) is differentiable on [a,b] then \exists c \in [a,b] with f’(c)=\frac{f(b)-f(a)}{b-a}.
Definition of Inflexion Point
For a function f(x), we say that c is an inflection point if f(x) changes concavity at x=c. If f’(x) is differentiable and f(x). has an inflection point at x=c, then f’’(c)=0.
Concave Upwards
If the graph of F lies above all of its tangents on an interval I, then F is concave upward on I.
Concave Down
If the graph of f lies below all of its tangents on I then f is called concave downward on I.
Concavity Test
if f’’(x)>0 on an interval I, then the graph of f is concave upward.
if f’’(x)<0 on an interval I, then the graph of f is concave downward.
Second Derivative Test
Suppose f’’ is continuous near c.
If f’(c)=0 and f’’(c)>0, then f has a local minimum at c.
If f’(c)=0 and f’’(c)<0, then f has a local maximum at c.
Definition of a Differential Equation
A differential equation (in one variable x) is an equation of the form F(y(n), y(n-1), …, y, x) = 0.
Note the highest derivative that appears is called the “order”. For instance, the derivative of x2 is first order with respect to x.
Definition of an Initial Value Problem (IVP)

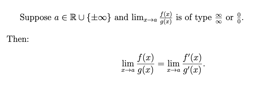
L’hôpital’s Rule

Euler’s Method
Approximates values for the solution of the initial-value problem y’ = F(x,y), y(x0) = y0, with step size h, at xn = xn-1 + h, are
yn=yn-1 + hF(xn-1, yn-1) n= 1, 2, 3,…
Definition of an Antiderivative
Suppose we have a function f(x) we say that F(x) is an antiderivative (an because there may be multiple suitable antiderivatives) of f(x) if y=F(x) is a solution to the differential equation:
y’=F(x)\Leftrightarrow\frac{d}{dx}F\left(x\right)=f\left(x\right)
In other words, F(x) is an anti-derivative of f(x) if (see image) the derivative of F(x) is f(x) .

Fundamental Theorem of Calculus (part 2)
Suppose f(x) is such that an antiderivative F(x) exists on [a,b].
Let x_1=a,\Delta x=\frac{b-a}{n},x_{i}=a+i\Delta x for 1\leq i \leq n
Then
A=\lim_{n\to\infty}\sum_{i=1}^{n}f(x_{i})\,\Delta x=F(b)-F(a)=\int_{a}^{b}\!f\left(x\right)\,dx
In other words: we can find the area under f(x) on an interval [a,b] by computing F(b)-F(a) for any antiderivative F(x).
Other definition Greg gave that is easier to remember:
If F’(x) = f(x)" on [a,b], then we can evaluate \int_{a}^{b}\!f\left(x\right)\,dx as
\int_{a}^{b}\!f\left(x\right)\,dx=F\left(b\right)-F\left(a\right)
Fundamental Theorem of Calculus (part 1)
If f(x) is integrable on [a,b] then the function
F(x)=\int_{a}^{b}\!f\left(x\right)\,dx is an antiderivative of f(x).
Rolle’s Theorem
Let f be a function that satisfies the following three hypotheses.
f is continuous on the closed interval [a,b].
f is differentiable on the open interval (a,b).
f(a)=f(b)
Then there is a number c in (a,b) such that f’(c)=0.
State the First Derivative Test
if f(x) is differentiable at c and f’(c)=0, then if
f’(x)>0 on some interval (c-\epsilon,c) and f’(x)<0 on some interval (c, c+\epsilon) then f(c) is a local max.
f’(x)<0 some interval (c-\epsilon,c) and f’(x)>0 some interval (c, c+\epsilon) then f(c) is a local min.
State the Second Derivative Test
if f’’(c) exists and f’(c)=0 then:
if f’’(c)<0 then f(c) is a local min.
if f’’(c)>0 then f(c) is a local max.
if f’’(c)=0 the test is inconclusive.
State L’hôpitals Rule
For a limit of the form \lim_{x\to c}\frac{f(x)}{g(x)} if \lim_{x\to c}f(x)=0=\lim_{x\to c}g(x) or \lim_{x\to c}|f(x)|=\infty=\lim_{x\to c}|g(x)| , then \lim_{x\to c}\frac{f(x)}{g(x)}=\lim_{x\to c}\frac{f^{\prime}\left(x\right)}{g^{\prime}\left(x\right)} .