1/25
Looks like no tags are added yet.
Name | Mastery | Learn | Test | Matching | Spaced | Call with Kai |
|---|
No analytics yet
Send a link to your students to track their progress
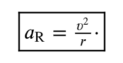
Centripetal (Radial) Acceleration
an object moving in a circle of radius r at constant speed v has an acceleration whose direction is toward the center of the circle
acceleration is dependent on v and r- the greater the speed, the faster the velocity changes direction; the larger the radius, the less rapidly velocity changes directio

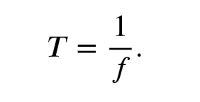
Period
the time required for an object revolving in a circle to make one complete revolution; represented by a T

Velocity of Object Revolving in Circle
velocity is the change in position over some time interval T; use circumference of circle to find distance (2πr)

Forces on Object in Circular Motion
use Newton’s second law for the radial component
since the acceleration is directed toward the center of the circle at all times; the net force must also be directed toward the center

Centripetal Force
describes the direction of the net force needed to provide a circular path; always directed toward the center of the circle and applied by other objects
NOT a new kind of force or a force that exists in nature on its own
ex: tension (like a ball on a string), static friction (like a car going into a turn); gravity (like the earth’s attraction to the sun)
Free-Body Diagram for Circular Motion
force points toward inside of circle; weight (mg) always points downward regardless of position of object

Speed Where No Friction Is Required
FN sin theta = m v²/r
Magnitude of Gravitational Force
FG = G (m1m2 / r²)
m_1 and m_2 are the masses of two particles, r is the distance between them, and G is a universal constant which must be measured experimentally
Force of Gravity Near Earth’s Surface
FG = G (mme / re2)
G Constant
6.667 × 10^-11 N . m²/kg²
Acceleration of Gravity at Earth’s Surface
ge = G (me/re²) = 10.0 m/s²
Acceleration of Gravity at Planet’s Surface
gp = G (mp/rp²)
Earth’s Mass and Radius
5.98 × 1024 kg
6378 km (use 6400 km?)
Potential & Kinetic Energy Formulas
PE = (mg)y
KE = ½ mv²
Work
product of the magnitude of the displacement and the force
force and displacement must be going in the same direction to be valid
W = F times x
Friction Work
W= Ffr x dfr
W= (mu FN) dfr
Spring Work Formula
Wspring = ½ kx²
where k is spring constant in N/m and x is compression in m
Power
power is equal to energy or work over time = J / s = watt
1 horse-power = 750 watts
P = work/t = F x x/t = FxV
Linear Momentum
product of its mass and its velocity
the more momentum an object has, the harder it is to stop it
P = mv
Newton’s 2nd Law Rewritten for Momentum
the rate of change of momentum of an object is equal to the net force applied to it
ΣF = Δp / Δt = mvf-m0 / Δt
Conservation of Momentum
the total momentum of an isolated system of objects remains constant; i.e., momentum before = momentum after
mA1vA1 + mB1vB1 = mA2vA2 + mB2vB2
ΣFnet = 0 (if equal to 0, then Δp must be equal to 0)
Impulse Momentum
impulse = Fnet x Δt
Elastic Collision
KE is conserved, P (momentum) is conserved
in one dimension:
Inelastic Collision
when no outside forces are acting on system
P (momentum) is conserved if KE is not conserved
Collisions in Two Dimensions
Momentum Conservation & Collisions Steps
1.) choose system
2.) consider whether significant net forces act on chosen system
3.) draw a diagram
4.) choose coordinate system and assign positive and negative
5.) apply momentum conservations equations
6.) if elastic, you can alos write down a conservations of kinetic energy equation
7.) solve for unknowns
8.) check work, check units, ask if results make sense/are reasonable