1/5
Looks like no tags are added yet.
Name | Mastery | Learn | Test | Matching | Spaced | Call with Kai |
|---|
No analytics yet
Send a link to your students to track their progress
p —> q
q
∴ p
Fallacy of the converse

p —> q
~p
∴ ~q
Fallacy of the inverse

p v q
p
∴ ~q
misuse of disjunctive reasoning

p v q
q
∴ ~p
misuse of disjunctive reasoning

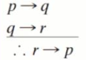
p —> q
q — r
∴ r —> p
misuse of transitive reasoning

p —> q
q —> r
∴ ~p —> ~r
misuse of transitive reasoning