1/4
Looks like no tags are added yet.
Name | Mastery | Learn | Test | Matching | Spaced | Call with Kai |
|---|
No analytics yet
Send a link to your students to track their progress
Máme flotilu 56 vozidel, 12 je z nich nepojízdných, jak by si vypočítal podíl nepojízdných vozidel?
p=12/56
Chci “nástřel”/odhad rozdílu podílů dvou proměnných, jaký odhad použiji?
Bodový odhad rozdílu podílu

Co tento vzoreček počítá?
Bodový odhad rozdílu dvou podílů

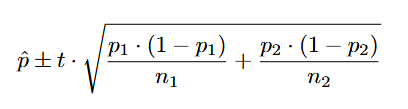
K čemu slouží tento vzoreček?
K výpočtu rozdílu dvou intervalových odhadů podílu
Vypočítal jsem intervalový odhad rozdílu dvou podílů, a vyšel mi interval [-5, 11]. Co mi to říká?
Rozdíl podílu se nachází někde v intervalu od -5 až do 11 p.b., což znamená, že je statisticky nevýznamný, jelikož rozdíl podílu může být větší nebo i menší