1/23
Looks like no tags are added yet.
Name | Mastery | Learn | Test | Matching | Spaced |
|---|
No study sessions yet.
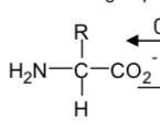
Draw the general structure of an amino acid

Why are all amino acids (except glycine) chiral?
4 different groups around the C
What is a zwitterion?
An amino acid with no overall net charge but has individual + & - charges
Draw a zwitterion

Are amino acids bases or acids?
Both as amine is basic and carboxylic is acidic. Will act as weak buffers and only gradually change pH if small amounts of acid/alkali are added
Draw an amino acid in high pH

Draw an amino acid in low pH

What is a dipeptide?
Single combination of 2 amino acids with one peptide link that can be either way
What is esterification?
Alcohol + carboxylic acid —> ester + water
Draw the reaction of alanine with methanol and a strong acid catalyst (what is the name of the reaction mechanism)
Esterification

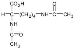
Draw the reaction between lysine and ethanoyl chloride (what is the name of the reaction mechanism)
Nucleophilic addition-elimination

What are amino acids joined by?
Peptide links

Draw the dipeptides for the following:


Draw the products for the following reaction (+ name of reaction)
Nucleophillic addition-elimination


Draw the products for the following reaction (+ name of reaction)
Esterification

How can you split proteins back into their constituent amino acids?
Hydrolysis using concentrated acid
How can you deduce the composition of the protein molecule?
TLC chromatography
Primary structure of proteins?
Specific sequence of amino acids (joined by peptide links)
Secondary structure of proteins?
Polypeptide chain held by hydrogen bonds between N-H and C=O:
Coils = alpha helix
Zigzags = beta pleated
Tertiary structure of amino acids?
3D folding of secondary structure
Interactions between R groups
H bonds, disulfate bridges, ionic interactions
Hydrogen bonds in 3* structure?
Between O and O-H
Ionic interactions in 3* structure?
COO- and NH3+ on side chains
Sulfur bridges in 3* structure?
Cysteine has CH2SH group enabling formation of S-S bonds (this is covalent bonding)
VDW in 3* structure?
Amino acids with non-polar side chains (large hydrocarbon groups)