1/3
Looks like no tags are added yet.
Name | Mastery | Learn | Test | Matching | Spaced | Call with Kai |
|---|
No analytics yet
Send a link to your students to track their progress
Projection of a Vec A on Vec B

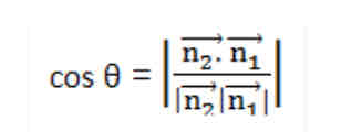
Angle between two planes

Angle between a line and a plane

Equation of a plane
