1/8
Looks like no tags are added yet.
Name | Mastery | Learn | Test | Matching | Spaced | Call with Kai |
|---|
No analytics yet
Send a link to your students to track their progress
regression line
summarizes all the dots as best as possible
conditional means
summing all y-values for each value of x, divide by n/cases for that specific X
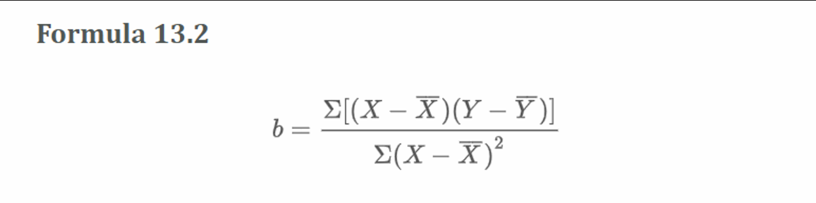
least-squares regression formula

slope formula
slope measures the amount of change in Y when X changes

a formula
Y when X is zero

Pearson’s R: Measure of association for Interval-ratio variables
bivariate normal distributions
linear
homoscedasticity
normally distributed
range: 0.00 to -1.00 or +1.00

r²
indicates the extent to which X helps to explain Y’s variation
T (obtained) formula

degrees of freedom for T-distribution
df: n - 2