1/40
Mémoire a long terme.
Name | Mastery | Learn | Test | Matching | Spaced | Call with Kai |
|---|
No study sessions yet.
Qu’elles sont les 2 principaux types de machine de traction ?
Machine de traction hydraulique (Servohydraulique) et Machine de traction a Vis.

Barreau de traction 🔄
Tensile test bar / Sample
Les 2 Zones de l’éprouvette ?
1- Zone d’amarrage (Grip Section), section plus épaisse pour que la contrainte soit plus faible pour éviter la casse lors de la fixation.
2- Section réduite (Gauge section), section plus fine pour forcer la déformation en cet endroit.

✅❌ Dans toute la tensile test bar ,Une seule contrainte constante et déformation uniforme et dans une seule direction.
❌ La contrainte n’est pas la meme dans la gauge section et dans la grip section.
❌Deformation uniforme oui mais que dans la gauge section mais pas dans une seule direction que dans la gauge section (Zone d’amarage) du a effet poisson amincissement de la barre.
Quelle est la définition exacte d'un matériau ISOTROPE ?
Un matériau isotrope possède des propriétés physiques (mécaniques, thermiques, optiques) identiques dans toutes les directions de l'espace 🧭.
Le Bois Est-il Isotrope ou Homogène ?
Il est non-isotrope et heterogene pas homogene.
Ses propriétés changent radicalement selon qu'on le sollicite dans le sens des fibres ou perpendiculairement.
Un matériau homogène a la même composition partou le bois : Il est constitué de différentes structures visibles à l'œil nu et au microscope
❌✅ Un matériau peut être isotrope sans être homogène.
✅Exemple : La Terre (ou une pièce traitée thermiquement). Au centre, les propriétés sont les mêmes dans toutes les directions (isotrope), mais elles changent si on se déplace vers la surface (non-homogène).

Qu’elle sont les conditions pour que cette equa soit Vraie ?
Si le volume V est constant en déformation plastique, et si le solide est isotrope

Qu’elle sont les conditions pour que cette equa soit Vraie ?
En déformation élastique linéaire, pour un solide isotrope.
Quel composant de la machine de traction mesure la charge ou force P appliquée ?
La cellule de charge (load cell).
Cite deux instruments mentionnés dans le cours pour mesurer précisément la déformation directement sur la surface de l'éprouvette.
L'extensomètre (extensometer).
La jauge résistive (strain gage).
(y’a aussi le mouvement de la traverse *chroshead movement) mais c’est peur precis
Pourquoi la mesure via le déplacement de la traverse est-elle imprécise ?
Car elle inclut aussi la déformation élastique de la machine et le glissement éventuel des mors, pas seulement l'allongement de l'éprouvette.
Donne la formule de e et ses différents noms.

L’allongement relatif, dite aussi déformation nominale (engineering strain)
Quelle sont les définitions de epsilon ainsi que ces equa ?

la déformation vraie (true strain)
Quelle sont les définitions de R ainsi que ces equa ?

la charge unitaire ou contrainte nominale (engineering stress)
Quelle sont les définitions de sigma ainsi que ces equa ?

la contrainte vraie (true stress)
Sur un graphique de traction, où se situe la courbe rationnelle (True strain true stress curve) par rapport à la courbe conventionnelle ? Et pourquoi ?
Elle est au-dessus.
Dans les 2 formule on divise par la surface de la section hors y’en a une qui est constante alors que l’autre est variables et diminue avec le temps


Complète le graphe.

E = Module d’Young Re = limite d’élasticité «microscopique» (microyield stress),
R0.2 = limite d’élasticité conventionelle à x% (typiquement 0.2%) (x% offset yield stress)
Rm = résistance en traction (tensile strength, ultimate tensile strength, UTS)
eh = allongement réparti (homogeneous strain, strain at necking) eF = allongement après rupture (strain after failure)
Pourquoi utilise-t-on la limite conventionnelle R_{0.2} au lieu de la limite élastique simple R_e pour certains matériaux ?

Regarder audio Tel R0.2

A qu’elle materiaux représente chaque courbe ?
a) Céramique et Verre
b) Meteaux
c) acier carbons
d) Caoutchoucs

Sur le graphe du caoutchouc, où aboutit la courbe de déchargement (trajet retour quand on lache contrainte)
Elle revient à l'origine (0,0). Il n'y a pas (ou très peu) de déformation permanente.


Cette energie est la somme de deux énergie lesquels ?
Réversible: cette partie, dite énergie élastique, est l’intégrale de la courbe tracée lors de la décharge
Irréversible (= l’intégrale de la courbe de charge moins la courbe de décharge); elle est soit dégagée sous forme de chaleur, soit stockée au sein du matériau, notamment dans les métaux sous forme de dislocations.

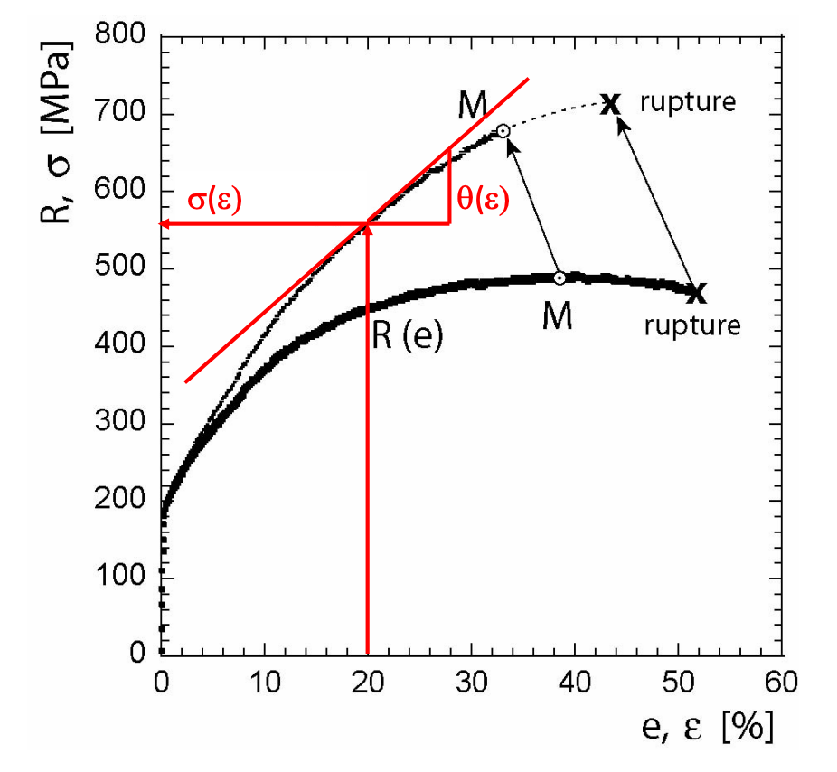
Donne moi ces differents noms ainsi que ce que ça represente et comment on le retrouve sur graphe ?
1. La contrainte d'écoulement ($\sigma(\epsilon)$)
Nom anglais : Flow stress.
C'est la contrainte réelle nécessaire, à un instant précis, pour continuer à déformer le matériau plastiquement. D’ou le fait que c’est un fonction dependant de epsilon
C'est tout simplement la valeur de l'ordonnée (axe vertical, R ou sigma) lue directement sur la courbe de traction rationnelle


Donne moi ces differents noms ainsi que ce que ça represente + equation et comment on le retrouve sur graphe ?
Le taux d'écrouissage
Nom anglais : Work hardening rate.
C'est la vitesse à laquelle le matériau se durcit.
Si theta est élevé, le matériau devient très vite très résistant dès qu'on le déforme un peu.
Si theta est faible (ou nul), le matériau s'étire sans opposer plus de résistance qu'avant.



Lequel est ductile, tres ductible,fragile ?
a) matériau métallique fragile,
b) matériau métallique ductile (acier inoxydable),
ac) matériau métallique très ductile (Al pur).
Comment mesure-t-on la ductilité d'un matériau (formule principale) ?
Par l'allongement relatif à la rupture :
\frac{\Delta L}{L_0}
Quel est le seuil d'allongement pour qu'un matériau soit considéré comme "fragile" ?
Allongement inférieur a 1 pour-cent.
Quel est le seuil d'allongement pour qu'un matériau soit considéré comme "ductile" ?
Allongement $> 10\%$.
À quel moment précis de la courbe de traction la striction (necking) commence-t-elle pour un métal ductile ?
Au point de resistance en traction R_m ou UTS.

Qu’elle sont les différentes condition mathémathiques de la striction et les conseéquences de celle si ?
Le 3 eme cas c’est si ton work hardening est egale a ta contrainte alors on a le critere de considere et on a un fin equilibre entre striction et contrainte et rine ne se passe.
Ecouter audio la Striction

Le critère de Considère (début de striction) correspond-il au maximum de la courbe de traction rationnelle (vraie) ?
NON. La courbe rationnelle continue généralement de monter jusqu'à la rupture. Ce n'est un maximum que sur la courbe conventionnelle.

Quelles sont les 2 desavantages de l’essaie de compression ?
1) Le flambage pour l’éviter il faut des barreaux trapus
2)Le frottement,qui dissipe de l’énergie et cause la mise en tonneau. Là, on préfère des barreaux longs. Le compromis est souvent fait avec un rapport hauteur/diamètre ≈ 3 ou 4.

Pourquoi priviliger essqie de compression ?
si produire ou amarrer des barreaux de traction est difficile, ou (ii) si on veut mesurer spécifiquement le comportement en compression de certains matériaux (le béton ou les composites, dans ce second cas avec des amarrages complexes).
❌✅ il existe de la striction en compression
❌Non la section s’agrandit donc pas possible.
❌✅La courbe conventionelle mesurée en compression plus élevée que la courbe conventionelle de traction
✅Oui puisque la section transverse s’agrandit au lieu de se rétrécir, et la striction est absente. De plus les déformations maximales sont généralement plus élevées.
Dans une poutre en flexion, qu'est-ce que l'"axe neutre" ?
C'est la ligne centrale de la poutre où la déformation est nulle epsilon = 0. Elle ne subit ni traction ni compression.
Selon la théorie d'Euler-Bernoulli, comment varie la déformation epsilon le long de la hauteur de la poutre y ?
Elle varie linéairement (proportionnelle à la distance y).
Formule :
\epsilon=y/R
Pourquoi est-il plus difficile d'analyser un essai de flexion qu'un essai de traction ?
Car la contrainte n'est pas uniforme dans la section (elle varie avec y). Déduire les propriétés du matériau à partir de la force globale est donc mathématiquement complexe.
Quelles sont les different types d’essaie ?
Essaie de traction, compression,dureté,flexion.
Comment se nomme l’equation qui montre le debut de la striction.
Critere de considere.
les 2 types de courbes selon l’allongement et contrainte
Courbes conventionnele (R et e) Courbe ratoinneles ( sigma et epsilon)