Home
Explore
Exams
Search for anything
Login
Get started
Home
MATH 232 FINAL
MATH 232 FINAL
0.0
(0)
Rate it
Studied by 1 person
0.0
(0)
Rate it
Call with Kai
Knowt Play
New
Learn
Practice Test
Spaced Repetition
Match
Flashcards
Card Sorting
1/63
There's no tags or description
Looks like no tags are added yet.
Study Analytics
All Modes
Learn
Practice Test
Matching
Spaced Repetition
Name
Mastery
Learn
Test
Matching
Spaced
No study sessions yet.
64 Terms
View all (64)
Star these 64
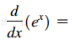
1
New cards
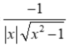
d/dx \[sin(x)\] = ?
\
2
New cards
d/dx \[cos(x)\] =?
\
3
New cards
d/dx \[tan(x)\] = ?
\
4
New cards
d/dx \[cot(x)\] = ?
5
New cards
d/dx \[sec(x)\] =
6
New cards
d/dx \[csc(x)\] = ?
7
New cards
d/dx \[sin⁻¹(x)\] = ?
8
New cards
d/dx \[cos⁻¹(x)\] = ?
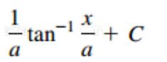
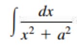
9
New cards
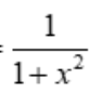
d/dx \[tan⁻¹(x)\] = ?
10
New cards
d/dx \[cot⁻¹(x)\] = ?
11
New cards
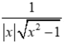
d/dx \[sec⁻¹(x)\] = ?
12
New cards
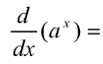
d/dx \[csc⁻¹(x)\] = ?
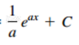
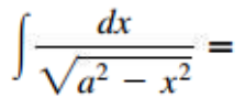
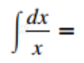
13
New cards
\
14
New cards
15
New cards
16
New cards
17
New cards
18
New cards
19
New cards
20
New cards
21
New cards
22
New cards
23
New cards
24
New cards
25
New cards
26
New cards
27
New cards
28
New cards
29
New cards
30
New cards
31
New cards
32
New cards
33
New cards
34
New cards
35
New cards
36
New cards
37
New cards
38
New cards
39
New cards
40
New cards
41
New cards
42
New cards
43
New cards
44
New cards
What is the polar equation of a circle?
r = asinθ
r = acosθ
45
New cards
What is the polar equation of a cardioid?
r = a±bsinθ
r = a±bcosθ
46
New cards
What is the polar equation of a lemniscate?
r² = a²sin(2θ)
r² = a²cos(2θ)
47
New cards
What is the polar equation of a petal curve?
r = asin(bθ)
r = acos(bθ)
48
New cards
Which polar graph is this?
\
cardioid
49
New cards
Which polar graph is this?
\
One-loop limacon
50
New cards
Which polar graph is this?
\
Two-loop limacon
51
New cards
Which polar graph is this?
\
lemniscate
52
New cards
How do you convert polar points to cartesian?
x = rcosθ
y = rsinθ
53
New cards
How do you convert cartesian points to polar?
r = √(x²+y²)
\
θ = tan⁻¹(y/x) if x > 0
θ = tan⁻¹(y/x) + π if x < 0
54
New cards
55
New cards
p-Series Test
56
New cards
Ratio Test
57
New cards
Root Test
58
New cards
Taylor Series Test
59
New cards
Integral Test
60
New cards
Divergence Test
61
New cards
Comparison Test
62
New cards
Limit Comparison Test
63
New cards
Alternating Series Test
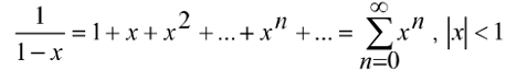
64
New cards
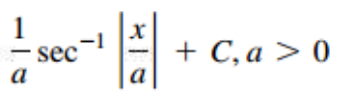
What is the series for 1/(1-x)?
Explore top notes
The Cultural Landscape Chapter 3: Migration
Updated 1135d ago
Note
Preview
3: Chemical basis of life
Updated 388d ago
Note
Preview
COM 100 Test: Chapters 1-8
Updated 384d ago
Note
Preview
Chemistry Essentials Video 9 Notes: Mass Spectrometry and Dalton
Updated 55d ago
Note
Preview
Unit 9: Longer Fiction or Drama III
Updated 928d ago
Note
Preview
Chapter 12: Advances in Policing: New Technologies for Crime Analysis
Updated 1057d ago
Note
Preview
Chapter 10: Freedom Fights Back
Updated 1125d ago
Note
Preview
AP World History - Unit 5: Revolutions
Updated 918d ago
Note
Preview
The Cultural Landscape Chapter 3: Migration
Updated 1135d ago
Note
Preview
3: Chemical basis of life
Updated 388d ago
Note
Preview
COM 100 Test: Chapters 1-8
Updated 384d ago
Note
Preview
Chemistry Essentials Video 9 Notes: Mass Spectrometry and Dalton
Updated 55d ago
Note
Preview
Unit 9: Longer Fiction or Drama III
Updated 928d ago
Note
Preview
Chapter 12: Advances in Policing: New Technologies for Crime Analysis
Updated 1057d ago
Note
Preview
Chapter 10: Freedom Fights Back
Updated 1125d ago
Note
Preview
AP World History - Unit 5: Revolutions
Updated 918d ago
Note
Preview
Explore top flashcards
PATHOLOGY EXAM 3
Updated 119d ago
Flashcards (151)
Preview
Bio 1: Chap. 3 Vocab
Updated 4d ago
Flashcards (25)
Preview
Human Development
Updated 209d ago
Flashcards (54)
Preview
Vocab 21 Para el viaje
Updated 354d ago
Flashcards (48)
Preview
Lektion 1 Cartes | Quizlet
Updated 707d ago
Flashcards (77)
Preview
Västerländsk konstmusik
Updated 212d ago
Flashcards (20)
Preview
Short Story Terms (courtesy of amyshum)
Updated 639d ago
Flashcards (30)
Preview
Unit 4 – Earth Systems & Resources | Fall Semester Exam (copy)
Updated 678d ago
Flashcards (37)
Preview
PATHOLOGY EXAM 3
Updated 119d ago
Flashcards (151)
Preview
Bio 1: Chap. 3 Vocab
Updated 4d ago
Flashcards (25)
Preview
Human Development
Updated 209d ago
Flashcards (54)
Preview
Vocab 21 Para el viaje
Updated 354d ago
Flashcards (48)
Preview
Lektion 1 Cartes | Quizlet
Updated 707d ago
Flashcards (77)
Preview
Västerländsk konstmusik
Updated 212d ago
Flashcards (20)
Preview
Short Story Terms (courtesy of amyshum)
Updated 639d ago
Flashcards (30)
Preview
Unit 4 – Earth Systems & Resources | Fall Semester Exam (copy)
Updated 678d ago
Flashcards (37)
Preview