1/14
Looks like no tags are added yet.
Name | Mastery | Learn | Test | Matching | Spaced | Call with Kai |
|---|
No analytics yet
Send a link to your students to track their progress
Spacetime Diagram
A graph of a particle’s space and time coordinates. The time coordinate is equal to the product of the speed of light and the time
World line
A line in a spacetime diagram that shows the motion of a particle through spacetime. A world line of a particle at rest or moving at constant velocity is a straight line in spacetime. The world line of a light ray makes an angle of 45 degrees with the time coordinate axis in space time. The world line of an accelerated particle is a curve in spacetime
Light cone
A cone that is drawn in spacetime showing the relation between the past and the future of a particle in spacetime. World lines within the cone are called timelike because they are accessible to us in time. Events outside the cone are called spacelike because they occur in another part of space that is not accessible to use and hence is called elsewhere
Invariant interval
A constant value in spacetime that all observers agree on, regardless of their state of motion. The equation of the invariant interval is in the form of a hyperbola in spacetime. Because of the hyperbolic form of the invariant interval, Euclidean geometry does not hold in spacetime. The reason for length contraction and time dilation is the fact that spacetime is non-Euclidean. The longest distance in spacetime is the straight line
Equivalence Principle
On a local scale, the physical effects of a gravitational field are indistinguishable from the physical effects of a accelerated coordinate system. Hence, an accelerated frame of reference is equivalent to an inertial frame of reference in which gravity is present, and an inertial frame is equivalent to an accelerated frame in which gravity is absent
The general theory of relativity
The laws of physics are the same in all frames of reference (note that there is no statement about the constancy of the velocity of light as in the special theory of relativity)
Warped spacetime
Matter causes spacetime to be warped so that the world lines of particles in spacetime are curved. Hence, matter warps spacetime and spacetime tells matter how to move. Gravity is a consequence of the warping of spacetime by matter
Gravitational Red shift
Time elapsed on a clock in a gravitational field is less than the time elapsed on a clock in a gravity-free space. This effect of the slowing down of a clock in a gravitational field is manifested by observing a spectral line from an excited atom in a gravitational field. The wavelength of the spectral line of that atom is shifted toward the red end of the electromagnetic spectrum
Tau in spacetime
The proper time interval measured by an observer experiencing a constant velocity in spacetime. It is the time experienced by an object moving along its world line between events.

Velocity in a spacetime diagram
The slope of the world line in a spacetime diagram, representing the rate of change of position with respect to time. This velocity can be analyzed to understand the motion of objects in relativity.

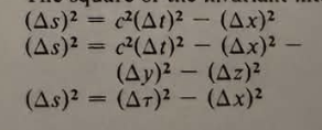
The square of the invariant interval
is the spacetime separation between two events,

Slowing down of a clock in a gravitational field
a phenomenon predicted by general relativity, where a clock positioned in a stronger gravitational field ticks more slowly compared to a clock in a weaker field, due to the curvature of spacetime.

Gravitational red shift of wavelength
is the phenomenon where light emitted from a source in a strong gravitational field appears to have a longer wavelength (lower frequency) to an observer outside the field.

Gravitational red shift of frequency
occurs when light from a source in a strong gravitational field appears to have a lower frequency (longer wavelength) when observed from a region of weaker gravity.

Change in frequency per unit frequency
is a measure of how much the frequency of a wave, such as light, shifts due to effects like gravitational redshift or Doppler effect, expressed as a ratio.
