Physics 2 Midterm 1

0.0(0)
studied byStudied by 0 people
full-widthCall with Kai
GameKnowt Play
learnLearn
examPractice Test
spaced repetitionSpaced Repetition
heart puzzleMatch
flashcardsFlashcards
Card Sorting

1/29

encourage image

There's no tags or description

Looks like no tags are added yet.

Study Analytics
Name
Mastery
Learn
Test
Matching
Spaced

No study sessions yet.

30 Terms

1
New cards

Write the definition of density.

knowt flashcard image
2
New cards

Write the definition of pressure.

knowt flashcard image
3
New cards

Write the hydrostatic condition.

knowt flashcard image
4
New cards

Write the hydrostatic condition solution for constant density.

knowt flashcard image
5
New cards

Write the continuity equation.

knowt flashcard image
6
New cards

Write Bernoulli’s equation.

knowt flashcard image
7
New cards

Write the differential equation for simple harmonic motion.

knowt flashcard image
8
New cards

Write the solution to the differential equation for simple harmonic motion. 

knowt flashcard image
9
New cards

Write the formula for angular frequency of small oscillations of a mass-spring system.

knowt flashcard image
10
New cards

Write the formula for angular frequency of small oscillations of a simple pendulum.

knowt flashcard image
11
New cards

Write the formula for the angular frequency of small oscillations of a physical pendulum. 

knowt flashcard image
12
New cards

Write the relations between the frequency.

knowt flashcard image
13
New cards

Write the relations between the angular frequency.

knowt flashcard image
14
New cards

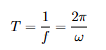
Write the relations between period. 

knowt flashcard image
15
New cards

Write the wave function of a right-going wave.

knowt flashcard image
16
New cards

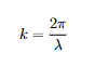
Write the definition of wavenumber.

knowt flashcard image
17
New cards

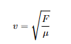
Write the definition of wave speed.

knowt flashcard image
18
New cards

Write the formula for wave speed on a string.

knowt flashcard image
19
New cards

Write the formula for wave speed in a solid.

knowt flashcard image
20
New cards

Write formula for wave speed in a fluid.

knowt flashcard image
21
New cards

Write the formula for the frequency of standing waves.

knowt flashcard image
22
New cards

Write the formula for wavelength of a standing wave.

knowt flashcard image
23
New cards

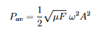
Write the formula for the average power of waves on a string.

knowt flashcard image
24
New cards

Write the formula for the intensity of sound waves.

knowt flashcard image
25
New cards

Write the formula for the pressure amplitude of sound waves.

knowt flashcard image
26
New cards

Write the intensity-distance relationship. 

knowt flashcard image
27
New cards

Write the formula for sound intensity level.

knowt flashcard image
28
New cards

Write the reference intensity.

knowt flashcard image
29
New cards

Write the formula for the Doppler shifted frequency (source to the right of the listener). 

<p></p>
30
New cards

Write the formula for beat frequency.

knowt flashcard image