1/9
Looks like no tags are added yet.
Name | Mastery | Learn | Test | Matching | Spaced | Call with Kai |
|---|
No analytics yet
Send a link to your students to track their progress

Add these two functions.


Subtract these two functions.


Multiply these two functions.


Divide these two functions.
Denominator must not equal zero.


Multiply these two functions.










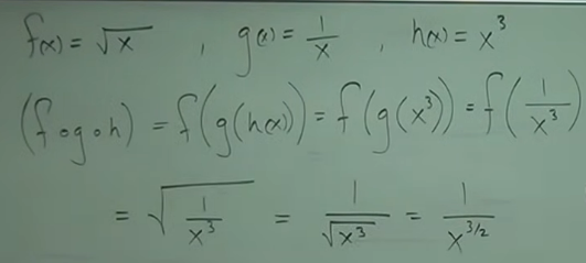
Compose the Function
