1/69
Looks like no tags are added yet.
Name | Mastery | Learn | Test | Matching | Spaced | Call with Kai |
|---|
No analytics yet
Send a link to your students to track their progress
trig identities

discriminant
positive?
negative?
0?
b2 - 4ac
positive - 2 solutions
negative - 0 solutions - no roots
0 - 1 solution
which one considers the order of the placement in probability
combination? permutation?
permutation = order is important
how to find y intercept + gradient from log graph

log rules
logxa = b → Xb = a

Binomial probability formula

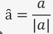
how to calculate unit vector

how to calculate resultant force with vectors

convert degrees to radians
degree x (180/pi)
equation of line in 3d vector

how to calculate angle with 3D vector and the axis

graph transformation

length of arc with radians
L = radius x angle
angle = radian
area of sector with radians
A = ½ x radius² x angle
angle = radians
midpoint of 2 coordinates

second derivative
negative = maximum = n shape
positive = minimum = u shape
suvat equations

to find centre of circle with perpendicular bisector

estimate for small angles

n Choose r

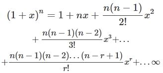
binomial expansion - normal

binomial expansion - (1+x)n

e - differentiate, number

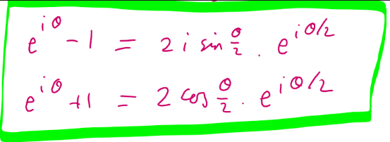
trig identities: double angle formulae

trig identities - cot, cosec, sec

acceleration on smooth slope
g(sinθ)
Fmax
Fmax = coefficient of friction x reaction force
harmonic form

partial fractions - normal

partial fractions - quadratic and linear

Method for products to multiples- complex numbers
First start with (z + 1/z)^n
Then binomial expansion
Group like terms together
Convert into trig terms using useful trick
Multiples to products method - complex numbers
(cos a + sin a) ^ n
Expand using binomial
If u want cos - use real parts
Sin - use imaginary
Then use trig formula to simplify into what is necessary
Work done by friction
The frictional force x s
Which is also the change in kinetic energy (if no gpe is involved)
Expected value in stats
Multiply the probability by the X value and add together
differentiate ax

differentiate lnx
1/x
differentiate logax

differentiate arsin x

differentiate arcos x

differentiate arctan x

differentiate tan x
sec2x
differentiate cot x
-cosec2x
differentiate sec x
sec x . tanx
differentiate cosec x
cosec x . cotx
differentiate sin x
cos x
differentiate cos x
-sinx
quotient rule for differentiation

product rule

complex number - useful trick 1
use this in de moivres theorem - in binomial expansion

complex number - useful trick 2
use this for sum of series/infinity for complex numbers
OR MULTIPLY THE DENOMINATOR BY CONJUGATE

complex number - useful trick 3
use this and multiply with original root when finding nth roots of any complex number

Assume particle - ie car is a particle
all weight acts from a single point at his centre of gravity
Assume uniform - ie plank is uniform
weight acts from its midpoint
Assume rod - ie plank is a rod
ignore its width
Assume light - string is light
In tension pulley problems = tension is same throughout the system
Otherwise - no weight is acting
Assume inextensible - ie string is inextensible
acceleration of masses is the same
Assume smooth - ie pulley is smooth
no frictional forces acting
Conservation of energy
loss of gpe = gain in ke
ke1 + Gpe1 = ke2 + gpe 2 + work done = when frictional forces are involved
When to use binomial distribution - why use?
fixed number of trials
two possible outcomes
each trial has same probabilities
the probabilities from trials are independent of each other
BE SPECIFIC TO CONTEXT OF Q
Calculate Var(X) - variance of random variable
Var(X) = E(X2) - (E(X))2
AUB
A or B

A∩B
A and B

A’
Not A

A’∩B
A’ overlap B - also only B

A’UB
A’ combine B

A∩B∩C

A’UB’ - how to convert
(A∩B)’
integrate (cos nθ)
1/n sin (nθ)
what is the dot product formula for vectors and what happens if the vectors are perpendicular (at right angle to each other)
when right angle - cos 90 = 0
dot product is always zero


if the gradient of a line is a fraction eg - what to do to find f is decreasing, values for x
make numerator equal zero
solve for x