Catalysis with and without chymotrypsin

0.0(0)
studied byStudied by 0 people
0.0(0)
full-widthCall with Kai
GameKnowt Play
New
learnLearn
examPractice Test
spaced repetitionSpaced Repetition
heart puzzleMatch
flashcardsFlashcards
Card Sorting

1/37

encourage image

There's no tags or description

Looks like no tags are added yet.

Study Analytics
Name
Mastery
Learn
Test
Matching
Spaced

No study sessions yet.

38 Terms

1
New cards

What does it look like?

(remember that it binds to residues of trp, tyr, phe) and the binding pocket has these non-polar amino acids that causes favoruable binding to those specific amino acids.

  • The rest of the peptide will bind into the binding groove of chymotrypsin because of favourable hydrogen bonds

2
New cards

Exaplain chymotrypsin orientationa nd proximity effect

so binding chymotripson its substrate in the way from above is going to position this peptide bond into the right close to the reacting amino acid side chains and in the correct orientation relative to those amino acid side chains for the reaction to occur.

3
New cards

Chymotrypsin binding

  1. it binds weakly to peptide chain upstream of the target amino acids (phe, trp, tyr)

  2. Phe, tyr, trp will fit into the (non polar) binding pocket

  3. if the residues make a good fit, the targeted peptide bond lines up with the caatalytic unit (scissors - the cleaving part)

    • then we see a strong tight bond

4
New cards

How does chymotrypsin use the proximity effect?

Chymotrypsin binds the polypeptide substrate in its active site, holding it close to catalytic residues (Ser, His, Asp). This increases Z (collision frequency) and allows the reaction to proceed efficiently.

5
New cards

How does chymotrypsin use the orientation effect?

Chymotrypsin positions the peptide bond correctly within the active site so that Serine (Ser) can attack it. This ensures the reactive groups are aligned for efficient catalysis, increasing p (successful reaction probability).

6
New cards

How does chymotrypsin catalyze hydrolysis?

  • on the c-terminal side of the phe, tyr, or trp it catalyses a hydrolysis of the bond, resulting in two separate peptides.

  • Because its a hydrolysis we know that its water being added to break those bonds.

7
New cards

Peptide hydrolysis by H2O without catalysis

step 1)

In the absence of catalyst like chymotrypsin or changing the pH, we just have water.

  • water can act as a nucleophile (two lone pairs) which can facilitate a nucleophilic attack on the electrophile in the peptide bond.

  • This attack would be on the carbon thats double bonded to the oxygen

  • The carbon is electron deficient because the oxygen is very electronegative

8
New cards

Peptide hydrolysis by H2O without catalysis

step 2)

  • after nucleophilic attack, we’d get the formation of a new bond to carbon between the carbon and oxygen from the water, which would force carbon to give up a bond.

  • and the oxygen that was previously double bonded to the carbon is now single bonded and took up some electrons

  • this leads to the oxyanion transition state (sp3 tetrahedral carbon)

9
New cards

oxyanion

oxygen with negative charge

10
New cards

Peptide hydrolysis by H2O without catalysis

step 3)

  • transition state may break down ( because its really unstable and really high energy) with Nitrogen as the leaving group

  • and as seen by arrows the electrons from oxygen would return to carbon to reform that double bond and the electrons from the bond between carbon and nitrogen would go to the nitrogen allowing nitrogen to leave.

11
New cards

Peptide hydrolysis by H2O without catalysis

step 4)

peptide bond is hydrolyzed and their is an exchange of protons to get NH2

12
New cards

Alternate pathway from transition state without catalyst (step 3B)

Instead, once the electrons from the oxyanion come back down to the carbon, the carbon, instead of giving up electrons and the the bond to the nitrogen, it can give up the electrons and the bond to the original water. (H20) at the bottom of diagram with the plus)

so after the electrons are given to the water we see that it goes back to the initial state, we have the same elctrophile back and no hydrolysis takes place.

13
New cards

What are the possivilities when using water with no cataklyst for hydrolysis?

Both options are likely

  1. we get hydrolysis of the peptide with nitrogen as the leaving group

  2. returning back to original state and water is leaving group (NO NET REACTION HAS OCCURED)

14
New cards

So why use chymotrypsin for hydrolysis and why is it better?

  • it speeds up the reaction by providing a different reaction pathway (40 reactions per second)

  • chymotrypsin is going to break this complex water hydrolysis reaction into two much easier steps that arent as likely to end us back up at the beginning.

15
New cards

2 Chymotrypsin steps for hydrolysis explained in multiple steps

  1. chymotrypsin will use a nucleophilic group in the enzyme itself to attack the C=O (electrophile)

    • this will break the peptide bond releasing the C-terminal half of the protein

    • The N-terminal remains covalently bonded to the enzyme group (acyl enzyme intermediate (represented by the little drop in the diagram.

  2. Water is brought in to release the n-terminal half, and restore the enzyme group to its original state

16
New cards

How does chymotrypsin start the reaction

The catalytic triad

17
New cards

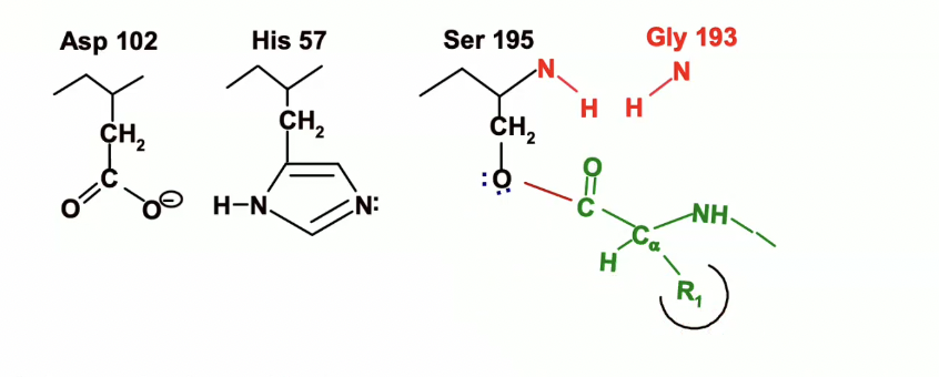
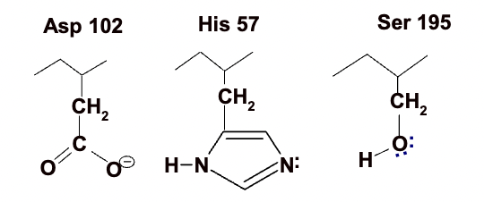
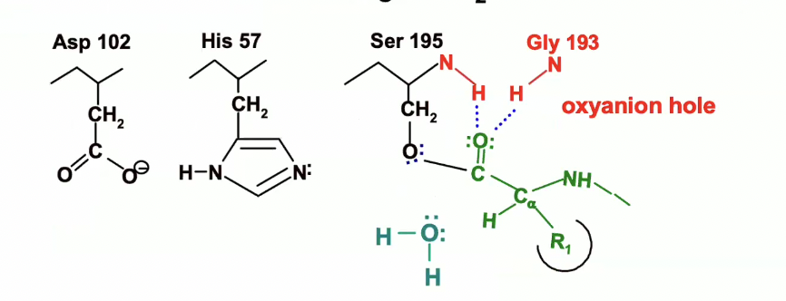
Catalytic triad

chymotrypsin uses a better nucleophile in the form of a the catalytic triad, where three amino acids line up side by side and correctly folded in chymotrypsin and cooperate for maximum effectiveness.

  • the three amino acids are

    1. Aspartate 102

    2. Histidine 57

    3. Serine 195

    (numbers indicate position within peptide sequence)

know what its supposed to look like with the lone pairs

18
New cards

Asp 102

negative charge which favours a positively charged partner (like the positive charge on the histidine) which will favour protonated state of histidine 57

19
New cards

His 57

because of the proximity of the negatively charged aspartate will very happily become protonated and become positively charged if it has a proton nearby it can capture

20
New cards

Ser 195

has a hydroxyl group which at neutral pH is protonated but it could give up that proton if theres a lone pair of electrons to share with a suitable atom.

21
New cards

Whats the combined effect of the catalytic triad?

Serine 195 deprotanates and becomes a really good nucleophile.

  • this is the effect of chymotrypsin decreasing the activation energy

22
New cards

Reminder: how can enzymes decrease the activation energy?

  1. enzyme can change the pathway through the reaction

  2. it can stabalize the transition state

23
New cards

Oxyanion hole in chymotripson

  • The oxyanion hole is a part of the enzyme's active site that stabilizes the transition state during a reaction.

  • It contains N-H groups that act as hydrogen bond donors to the negatively charged oxyanion intermediate.

  • In chymotrypsin, the NH groups of Gly 193 and Ser 195 donate hydrogen bonds to stabilize the transition state.

  • Stabilization lowers the energy level of the transition state, reducing activation energy (Ea) and speeding up the reaction.

24
New cards

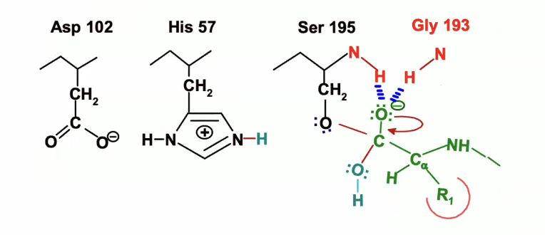
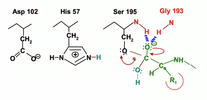
Chymotrpsin hydrolysis steps in detail (step 1) - Nucleophilic attack

This is where the nucleophilic group in chymotrypsin attacks the peptide C=O

  • the nucleophilic group is the serine in the catalytic triad

  1. This is the start of the reaction where we see the chymotrypsin active site with the catalytic triad and the oxyanion hole.

  2. in green, we see a peptide/substrate approaching with a trp,tyr, or phe residue (R1) the peptide is specifically located in the binding pocket so that we can position the peptide bond rught near the Serine 195

  1. so the reacting groups are that peptide bond in green and the serine 195 which are being positioned very close to each other in the right orientation for a reaction to occur.

  1. so the oxygen on the carbonyl group (circled in blue) is pointing up towards the oxyanion hole - the blue dotted lines are indicating where H bonds will form (they have not formed yet.

  2. His 57 is going to act as a general base and will remove the proton from OH group on Ser 195 and will take that proton.

  1. The electrons involved in the bond between Ser 195’s oxygen and hydrogen are going to go the the Oxygen

  1. now Ser 195 is a very good nucleophile, so it will facilitate the nucleophilic attack on the peptide carbonyl group

  1. The lone pair of electrons from the serine oxygen will go to the carbon, but carbon cant take any more than 8 valence electrons, so it has to give up a bond, which it does with the double bonded oxygen

  2. the oxygen will take up the electrons from the bond

  3. The negative charge on the Aspartate will delocalize positive charge in His 57, meaning it will take away that charge a bit by pulling it over away from the serine.

25
New cards

Summary of above

  1. Peptide Binding & Orientation

    • The peptide with an aromatic residue (Trp, Tyr, or Phe) (R1) enters the chymotrypsin active site and is positioned near Serine 195.

    • The peptide bond is aligned correctly with Ser 195, so the carbonyl carbon is close to Ser 195's nucleophilic -OH group.

  2. Activation of Ser 195

    • His 57 acts as a general base, removing the proton from Ser 195’s hydroxyl group, turning it into a stronger nucleophile.

  3. Nucleophilic Attack

    • The oxygen of Ser 195 attacks the carbonyl carbon of the peptide bond, creating a tetrahedral intermediate.

    • This forces the carbonyl oxygen (circled in blue) to point up toward the oxyanion hole.

  4. Bond Rearrangement

    • The oxygen of the carbonyl group (on the peptide) forms a new bond with Ser 195’s oxygen.

    • Electrons from the broken bond will move to the carbonyl oxygen, resulting in a negative charge on the oxygen.

  5. Stabilization

    • The oxyanion hole stabilizes this intermediate by forming hydrogen bonds (blue dotted lines) to the negatively charged oxygen of the tetrahedral intermediate.

  6. Electron Delocalization

    • The positive charge on the histidine is delocalized by the Asp 102 in the catalytic triad, enhancing the nucleophilic attack.

26
New cards

Formation of the first transition state (Chymotrypsin reaction)

Now we have our tetrahedral carbon with the oxyanion on the peptide

The oxyanion (with the negative charge) will be pulled up into that oxyanion hole and itll form those hydrogen bonds.

This will stabilise the transition state and decrease the activation energy.

27
New cards

When can the hydrogen bonds form between the peptide and the catalytic triad

when the carbon of the peptide is in the tetrahedral carboxyanion configuration.

28
New cards

Breakdown of the first transition state (Chymotrypsin reaction)

(remember with chymotrypsin there are two transition states) so to move to the next state we see a breakdown of this first transition state.

Above is what the first transition state looks like. Below is the start of the breakdown.

  1. The lone pair of electrons on the oxyanion will come back down and reform that double bond to the carbon

  1. NH bond will act as a leaving group and take up the electrons from its bond with carbon

  1. His 57, which was protonated earlier will acted as a general base, will now act as an acid and will donate the proton that it picked up from the serine to the nitrogen of the leaving group

  1. then the electrons from the NH bond on histidine will back on the nitrogen on the histidine which will end up looking like this

29
New cards

Formation of Acyl-Enzyme intermediete

At this point we have a broken peptide bond, regenerated histidine, and the Serine bonded to the rest of the peptide.

  1. We lose the C-terminal half of the substrate, it will leave

  2. we are left with the N-terminal part of the peptide covalently bonded in an ester to the 195 Serine’s oxygen.

    • This is the acyl-enzyme intermediate (the valley between the two peaks of transition intermedietes)

30
New cards

Chymotrpsin hydrolysis steps in detail (step 2) - Nucleophilic attack

  1. Water enters the catalytic site as seen in turquoise

  1. His-57 will act as a base again which will remove proton from the water

  2. the electrons from the OH bond in the water will go to the oxygen after H is taken up by His 57

  1. Water now will be an OH^- making it a better nucleophile, which will attack the carbonyl carbon of the peptide.

  1. then when that happens, the pair of electrons from the bond with C=O will move to oxygen and Carbon loses its double bond

we end up with the following second transition state

31
New cards

Formation of the second transition state

we have that oxyanion now

  • which will be stabilised by the hydrogen bonds within the oxyanion hole

32
New cards

Breakdown of second transition state

  1. electrons move back down from oxyegn reforming double bond with the carbon

  1. Because carbon can only have 4 bonds we need a leaving gorup and the best one is the oxygen of the serine

  2. once again, His 57 will act as an acid, donating proton to Ser 195

  1. the electrons from the NH will now be given to the N on histidine

  2. The acylenzyme bond is now broken

33
New cards

Formation of products

  1. N terminal peptide leaves

  2. catalytic triad is regenerated (remember thats how it looked in the beginning)

  3. ready to cycle again

34
New cards

What role does His-57 play in the catalytic mechanism of chymotrpsin?

acts as a general acid or general base

35
New cards

His-57 acts as both an acid and a base in the catalytic mechanism of chymotrypsin. How is it able to do so?

because its pKa is closer to the physiological pH.

36
New cards

Chymotrpsin reaction cycle can repeat ___ times per second

40 times/second

37
New cards

How was the chymotrypsin mechanism deduced?

through structural and mutational studies

  • by replacing Asp with uncharged Ala:

A key finding came from replacing Asp with an uncharged Ala. This mutation led to a dramatic decrease in enzymatic activity, with the enzyme functioning at only 10% of its normal rate. This showed the crucial role of Asp in stabilizing the transition state and facilitating nucleophilic attack during catalysis.

  • replacing histidine with lysine:

    Replacing His with Lys reduces activity to 0.1% of normal, as His (pKa 6.5) acts as both a general base and acid at pH 7, while Lys (pKa 10.2) is a good base at neurtal pH but is a poor acid.

  • replacing ser with ala: there was pretty much no reaction

38
New cards

Which proteases have identical catalytic mechanisms?

Trypsin and elastase