1/25
Looks like no tags are added yet.
Name | Mastery | Learn | Test | Matching | Spaced | Call with Kai |
|---|
No analytics yet
Send a link to your students to track their progress
x = 4.5
Solve for x.

x = 2
Solve for x.

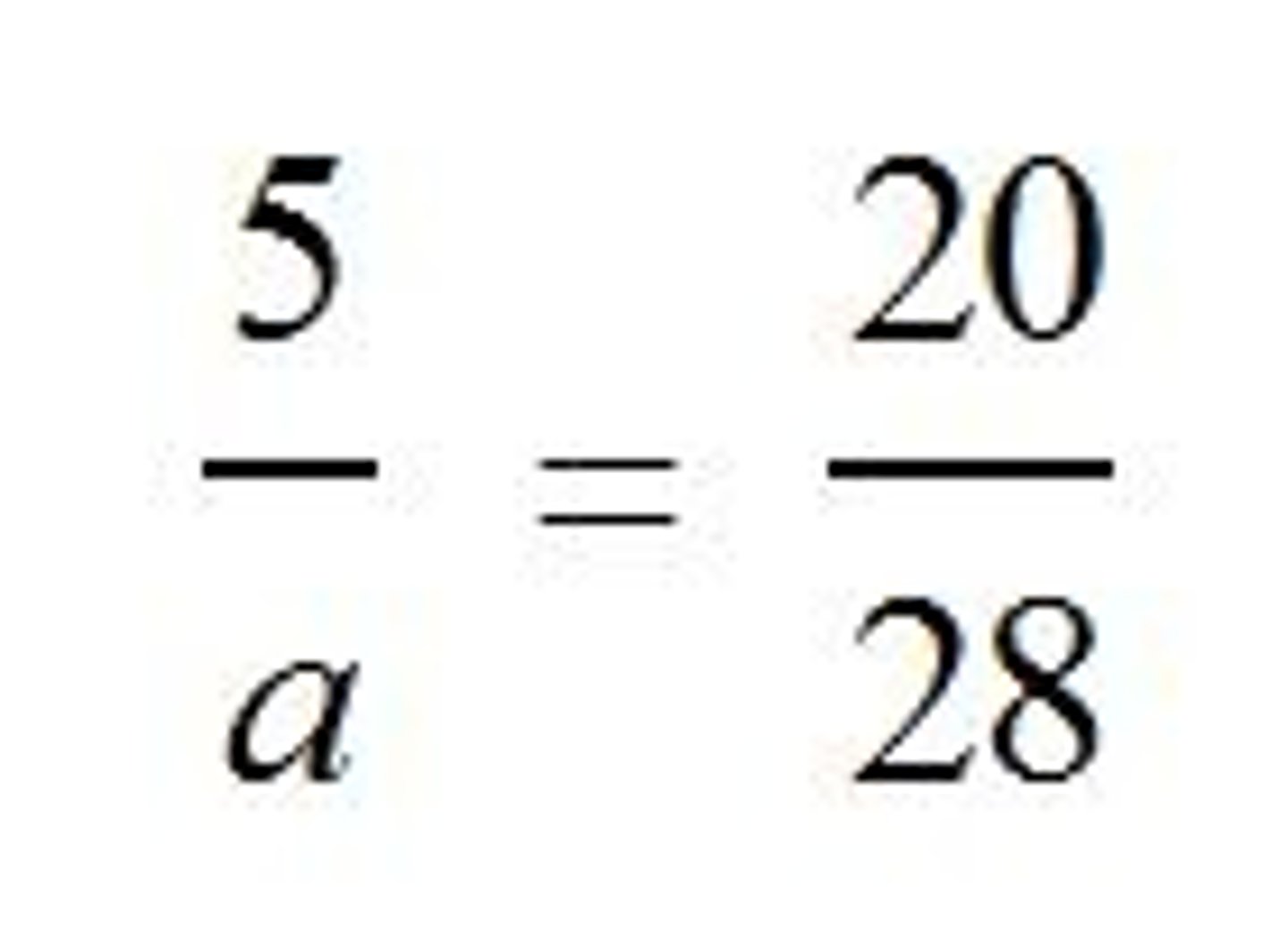
a = 7

x = 4/3
Solve for x.

x = 14
Solve for x.

x = 13
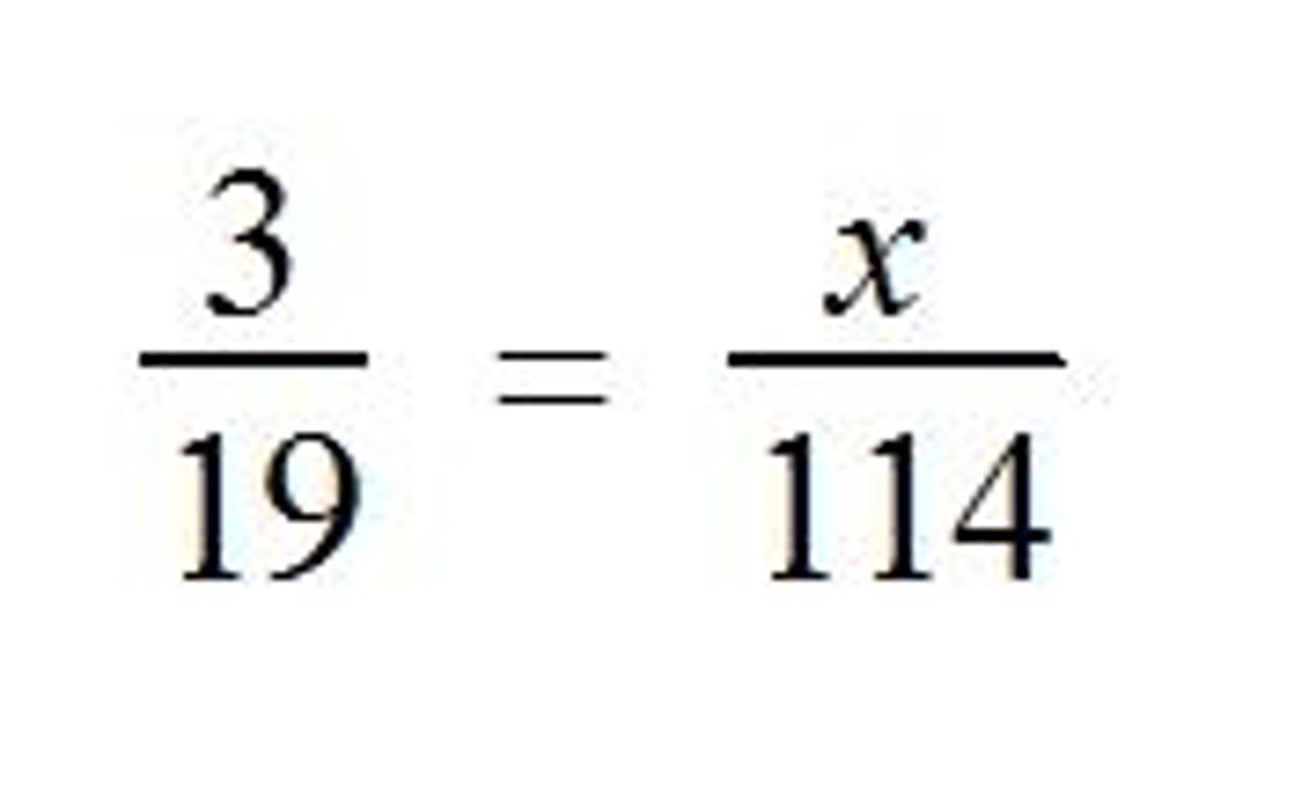
Solve for x.

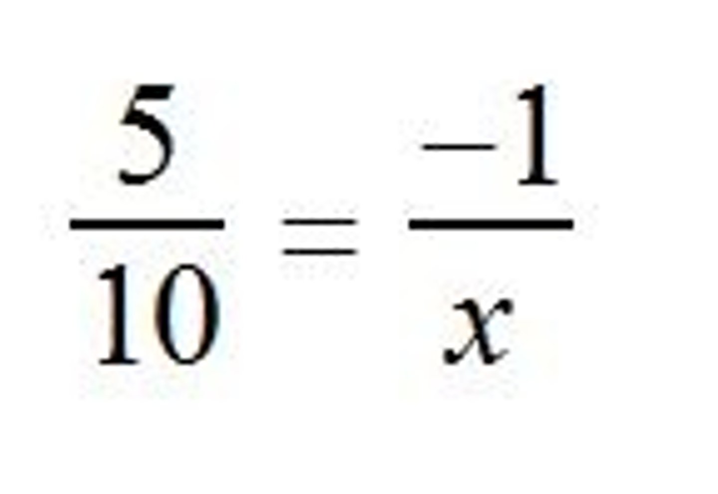
x = -0.8
Solve for x.

x = -5.2
Solve for x.

x = 24
Solve for x.

x = 8
Solve for x.

x = 5
Solve for x.

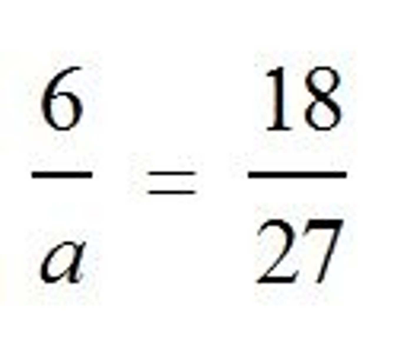
a = 9

a = 8

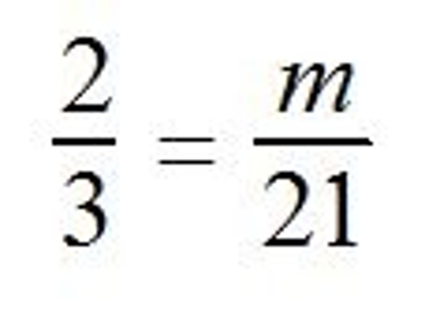
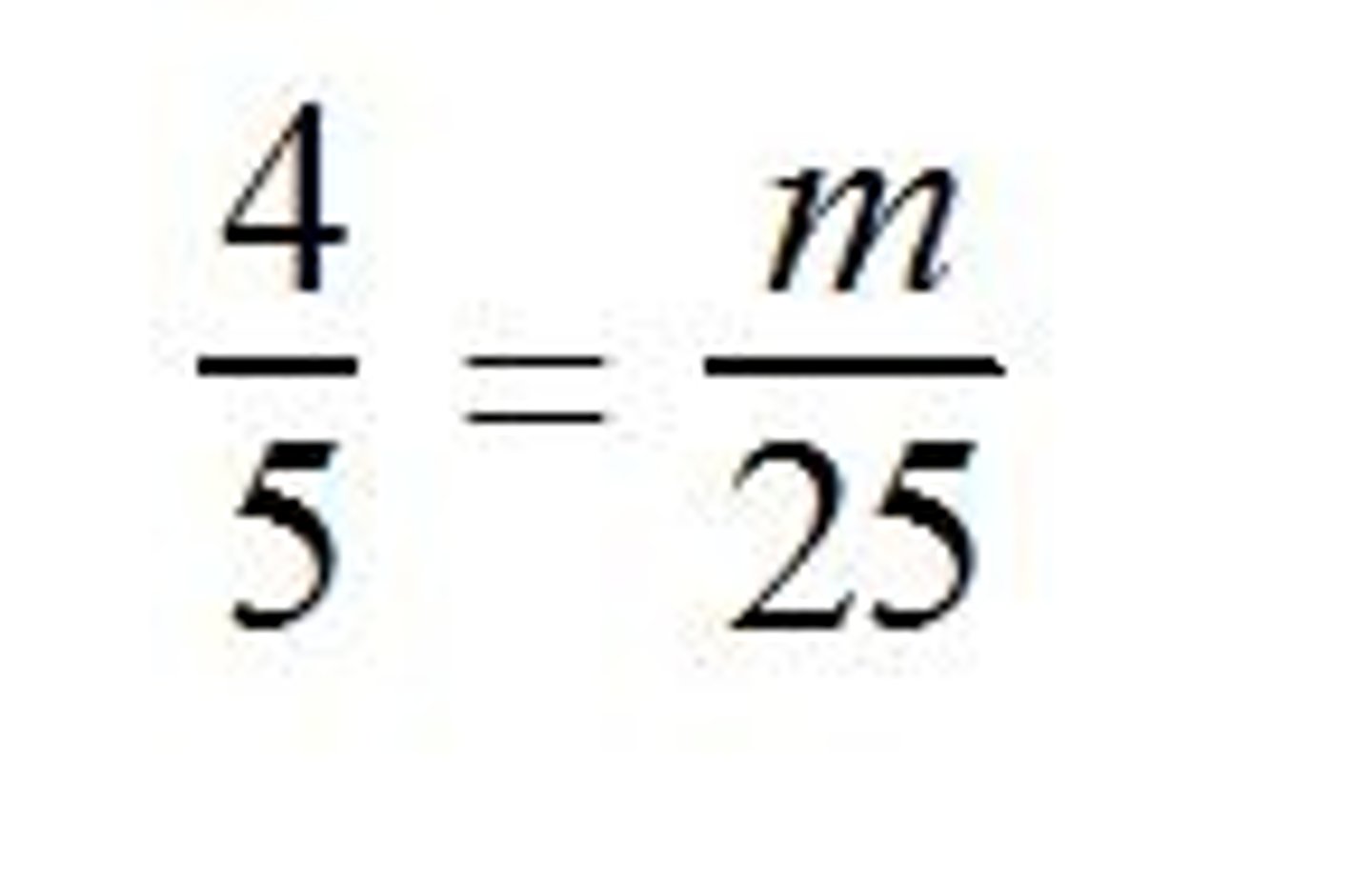
m = 25

m = 14

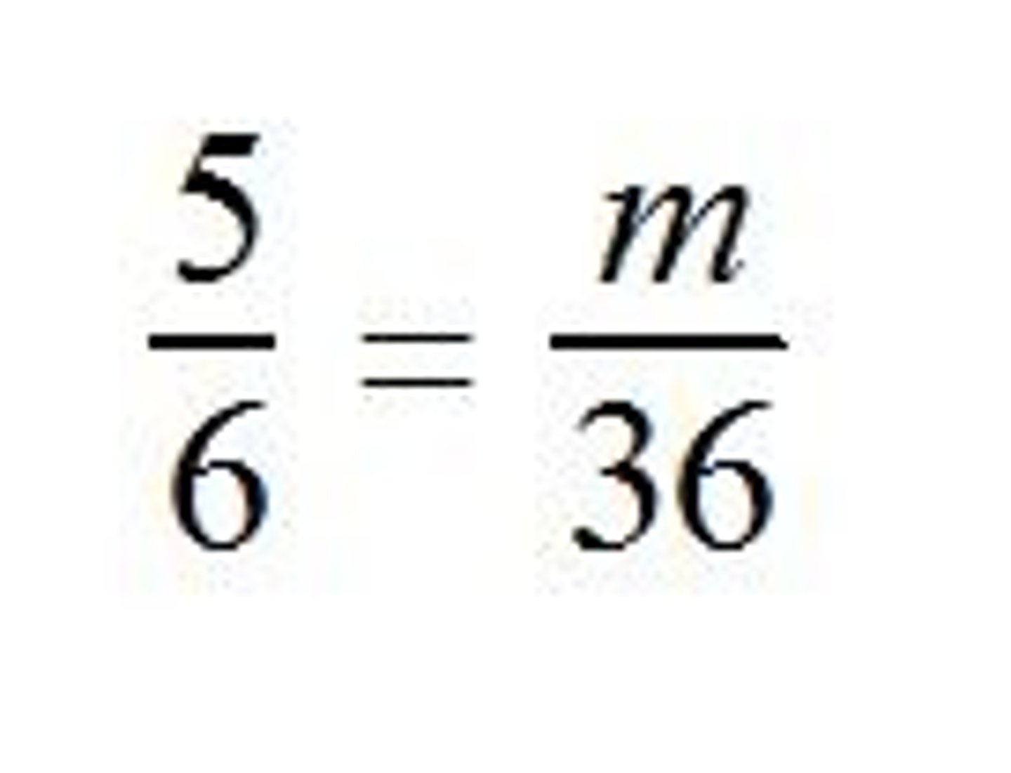
m = 30

m = 20

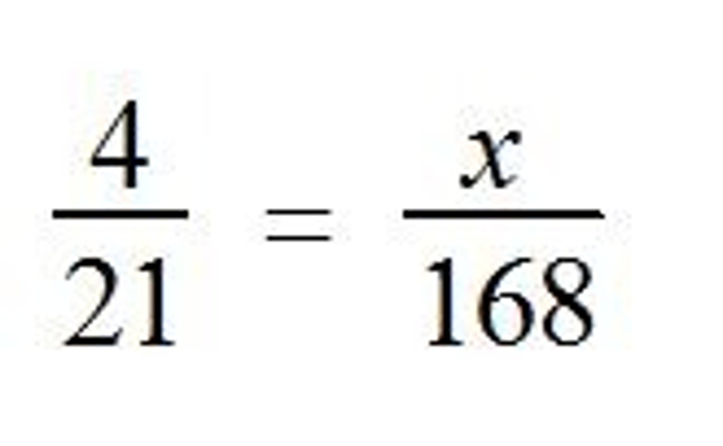
x = 32

x = 18

x = 16

x = 3
Solve for x.

x = 55

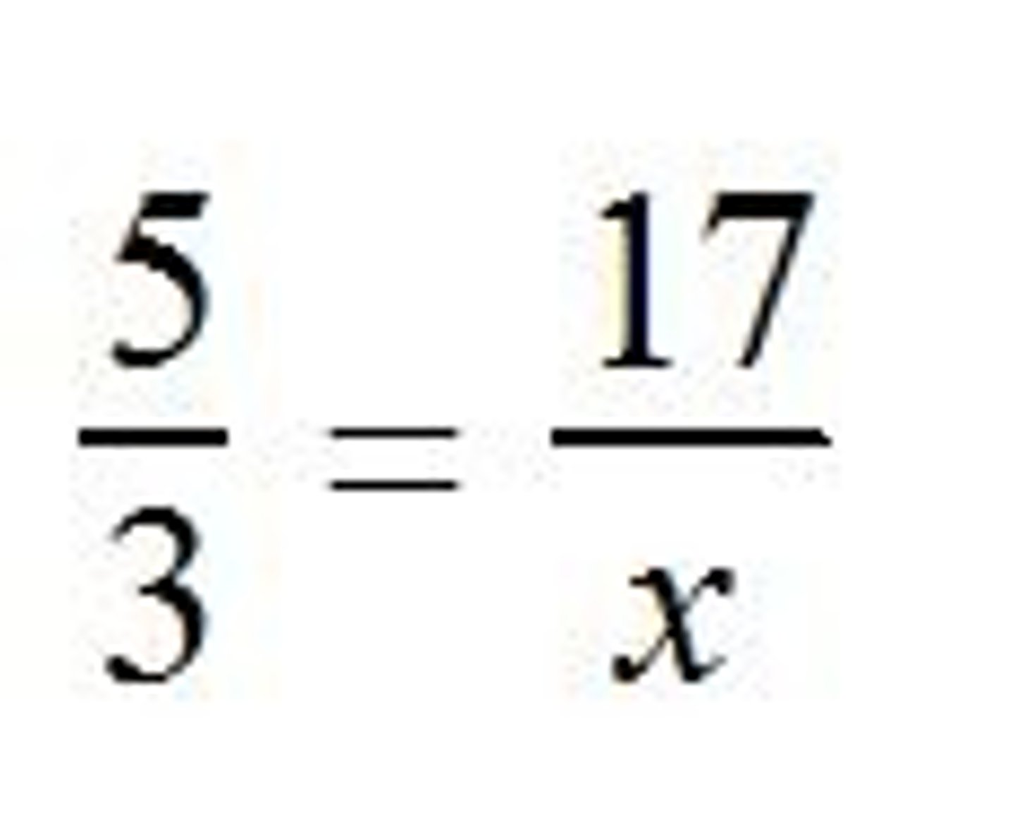
x = 10.2

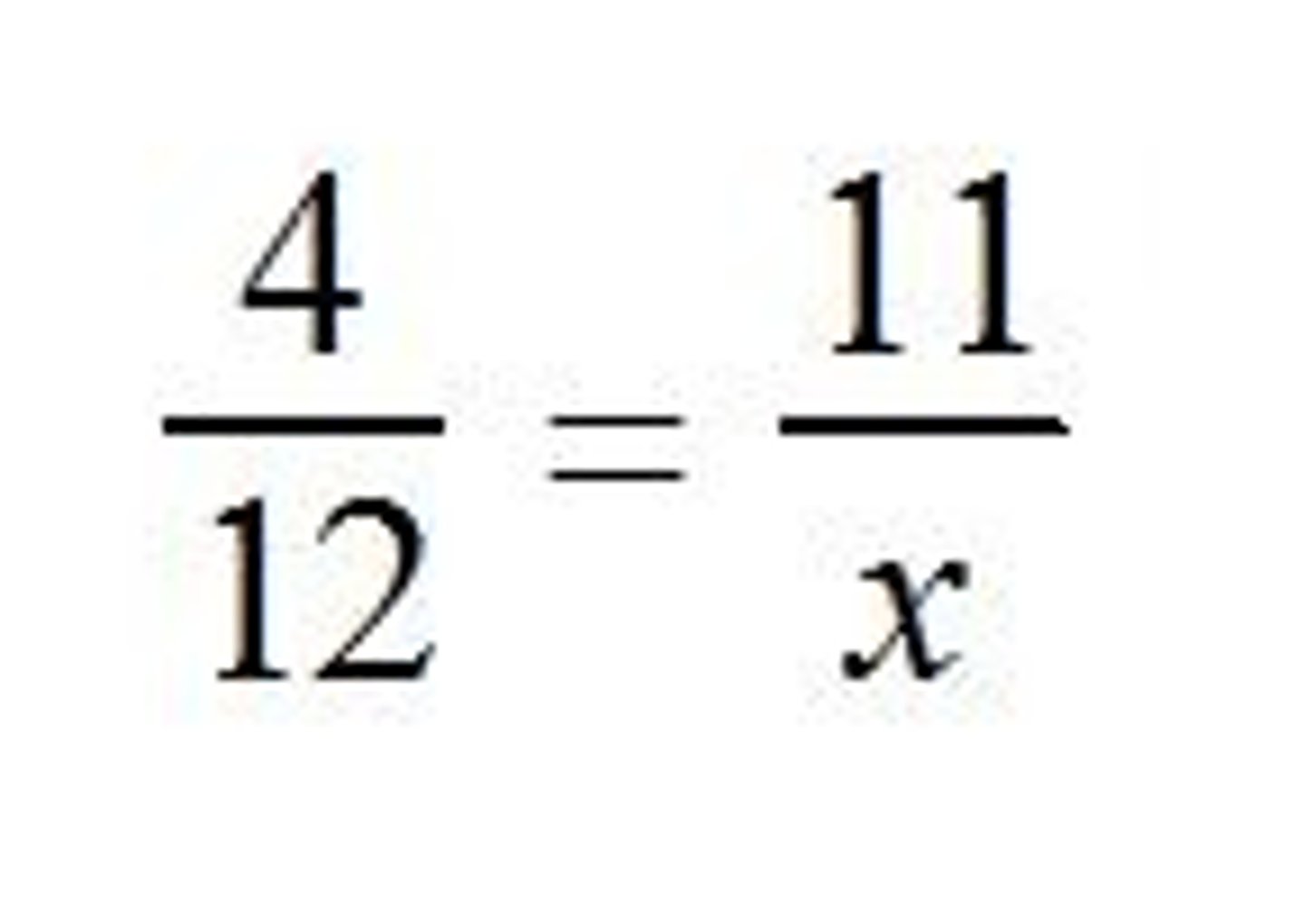
x = -2

x = 33

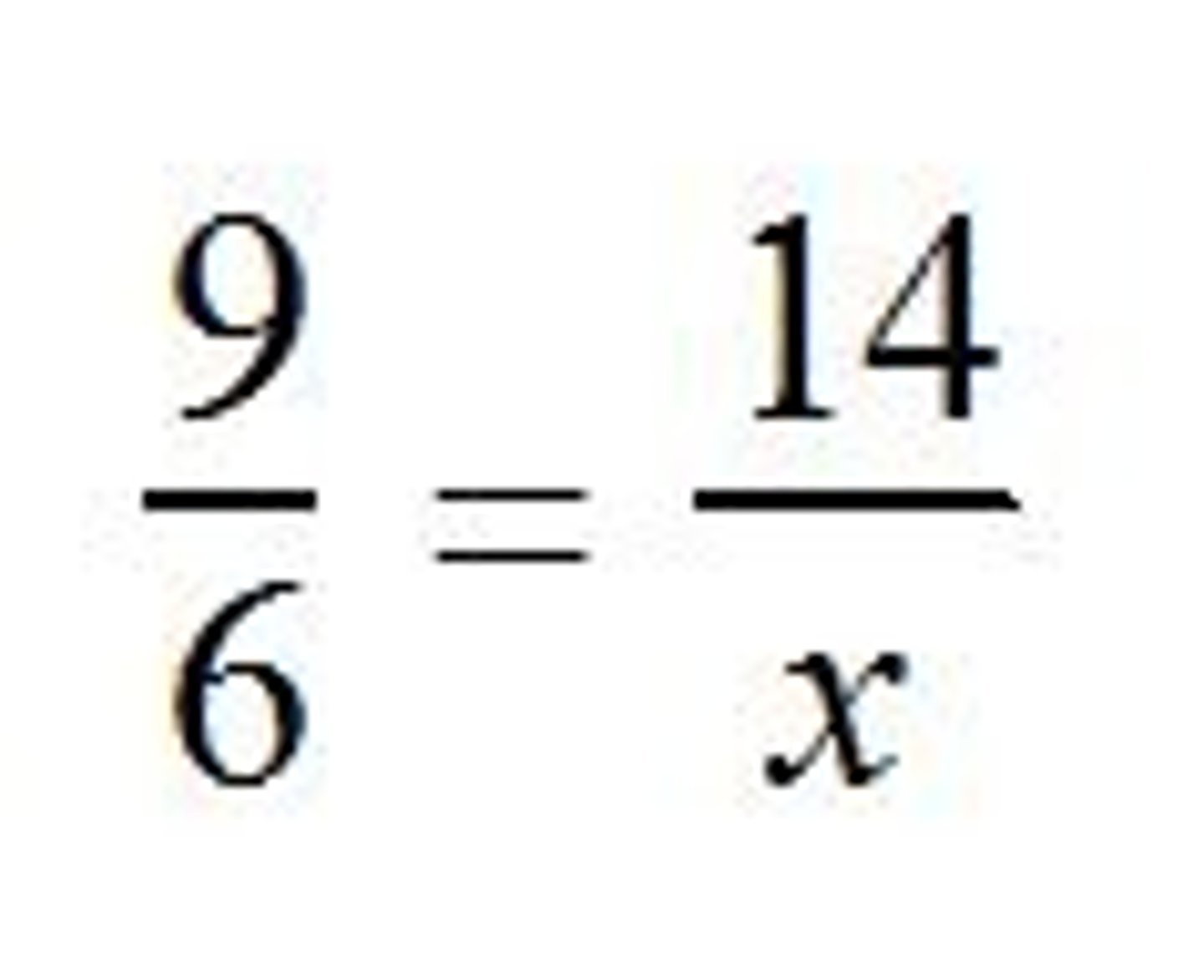
x = 9.3
