chapter 16

0.0(0)
studied byStudied by 0 people
0.0(0)
full-widthCall with Kai
GameKnowt Play
New
learnLearn
examPractice Test
spaced repetitionSpaced Repetition
heart puzzleMatch
flashcardsFlashcards
Card Sorting

1/21

encourage image

There's no tags or description

Looks like no tags are added yet.

Study Analytics
Name
Mastery
Learn
Test
Matching
Spaced

No study sessions yet.

22 Terms

1
New cards

descriptive statistics

Summarizes data through central tendency, variability/spread, and frequency.

2
New cards

inferential statistics

The process of using data analysis to infer properties of an underlying probability distribution and apply it to a larger population.

3
New cards

unskewed curve

data that falls under normally distribution and also shares the same mode, median, and mean.

4
New cards

unimodal data

there is only one mode and it appears at the center of the normal distribution curve.

5
New cards

multimodal data

there are multiple modes in the data set.

6
New cards

three factors to why studying standard normal distribution curve is important

  1. describes distributions of responses to a particular survey question.

  2. interprets the magnitude of a standard deviation.

  3. determines the probability of observing any particular level of response.

7
New cards

M±1SD

68% of data fall under this range

8
New cards

M±2SD

95% of data fall under this range

9
New cards

M±3SD

99.7% of data fall under this range

10
New cards

hypothesis testing

testing if the observed difference is real, based on the sampling distribution.

11
New cards

Group Difference Hypothesis

finding a pattern or difference regarding a variable between two different groups. (gen z have more screen time per day than gen x.)

12
New cards

Sample vs Population Hypothesis

finding a pattern or difference regarding a variable between the sample and the general population. (UT students, on average, will have a higher IQ than that of the general population.)

13
New cards

central limit theorem

The distribution of sample means will be normally distributed after repeated sampling. The data will become more centered over time, and fewer outliers will exist.

14
New cards

sample distribution

continuously sampling from the total data.

15
New cards

statistical significance (α or p-value)

a concept that expresses whether the relationship between two variables is real or is just due to chance. The value exists between 0-1. “Proving if the data is statistically significant.”

16
New cards

level of significance

The probability that the relationship has occurred by chance. A lower level of significance means a lower ability for chance to affect the data and a higher level of confidence. (A good level of significance is less than or equal to 5%.)

17
New cards

statistical significance vs level of significance

The level of significance/chance is the statistical significance as a percentage. if α = 0.04, the level of significance is 4%.If

18
New cards

confidence level

The probability, expressed as a percentage, that a confidence interval will contain the true population parameter (a good confidence level is about 95%; Confidence Level = 1 - α).

19
New cards

p-value and sample size

the p-value becomes smaller as sample size increases because there is less room for chance to occur because reliability increases as repeated sampling is done.

20
New cards

t-test

a statistical test that checks for statistical significance by comparing two groups’ means.

21
New cards

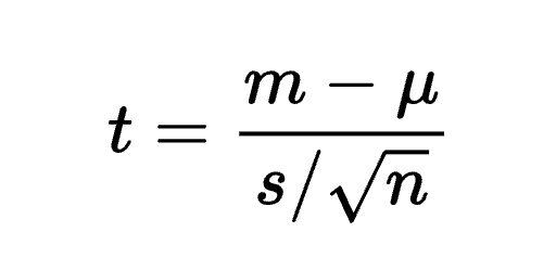
t-test formula

The t-value is equivalent to the difference of the sample means over the quotient of the sample’s standard deviation divided by the square root of the sample size.

22
New cards

t-value with standard deviation and sample size

high standard deviation or sample size means lower t-values and vice versa.

Explore top flashcards

Unit 11: Evolution
Updated 861d ago
flashcards Flashcards (95)
Biology Test 2
Updated 712d ago
flashcards Flashcards (24)
Unit 6 MWH
Updated 994d ago
flashcards Flashcards (28)
CRIM EXAM 2
Updated 733d ago
flashcards Flashcards (113)
Unit 11: Evolution
Updated 861d ago
flashcards Flashcards (95)
Biology Test 2
Updated 712d ago
flashcards Flashcards (24)
Unit 6 MWH
Updated 994d ago
flashcards Flashcards (28)
CRIM EXAM 2
Updated 733d ago
flashcards Flashcards (113)