1/28
Looks like no tags are added yet.
Name | Mastery | Learn | Test | Matching | Spaced | Call with Kai |
|---|
No analytics yet
Send a link to your students to track their progress
HX
(alkene)

HBr, ROOR
(alkene)

H₃O+
or
1) Hg(OAc)₂, H₂O
2) NaBH₄
(alkene)

1) BH₃(∙THF)
2) H₂O₂, NaOH
(alkene)

H₂, Pt (alkene)

Br₂ (alkene)

Br₂, H₂O (alkene)

1) RCO₃H
2) H₃O+
(alkene)

1) OsO₄
2) NaHSO₃, H₂O
(alkene)

1) O₃
2) DMS
(alkene)

1) LiAlH₄
2) H₃O₊
(Ketone or Aldehyde or Carboxylic Acid)

HX (alkane)

PBr₃
Alcohol to Br (steriochem safe)
H₂SO₄, Heat
(alcohol on alkane)

CrO₃ (alcohol on alkane)

KMnO₄ (alcohol on alkane)

H₂, Pd (alkene and ketone)

1) H₂SO₄
2) H₂O
(alkene)

1)MeMgBr
2) H₃O⁺
Cleave a ketone into an alcohol and methyl
(1 eq) HX→
(alkyne)

HgSO₄
or
H₂SO₄, H₂O
(alkyne)

1) R₂BH
2) H₂O₂, NaOH
(alkyne)

1) O₃
2) H₂O
(alkyne)

1) NaNH₂
2) RX
(alkyne)

Na, NH₃
(alkyne)

H₂, Pt
(alkyne)

H₂, Lindlar's Cat.
(alkyne)

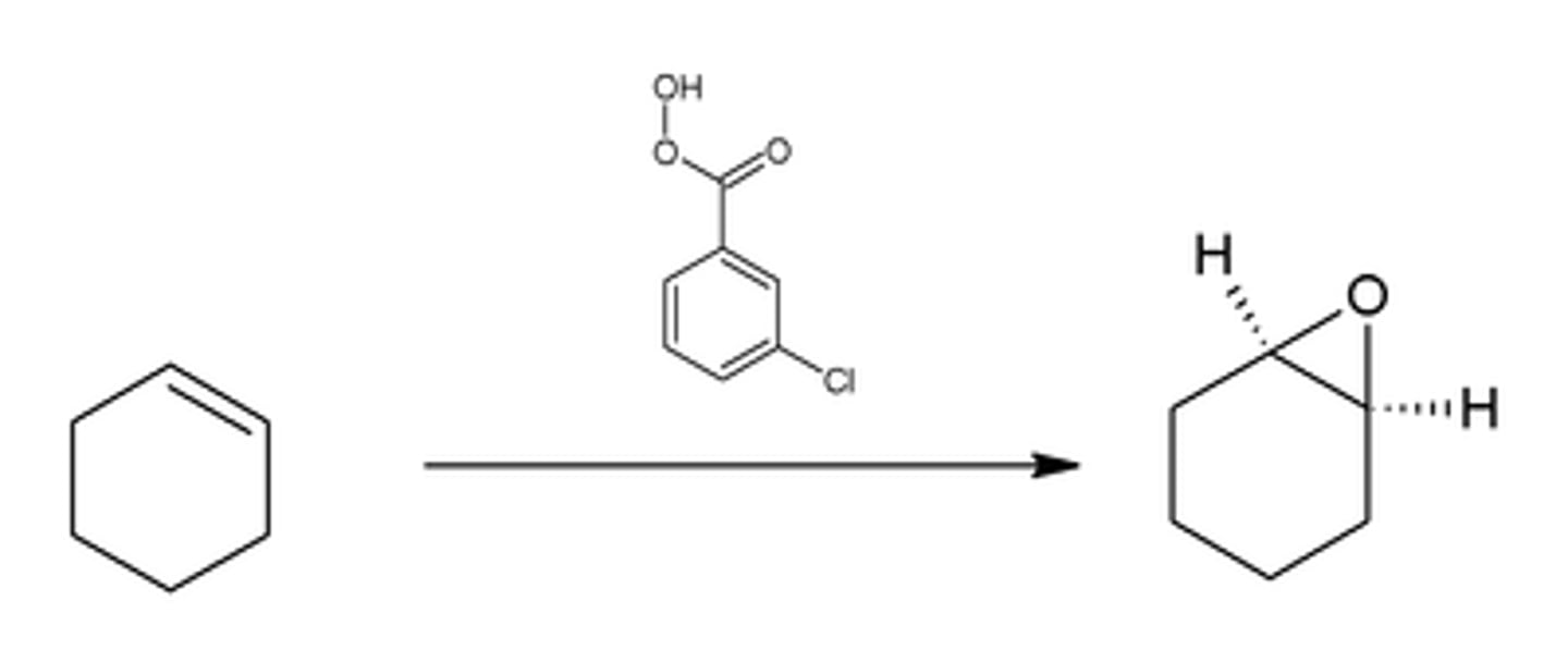
MCPBA

1) Nu
2) H₂O
(epoxide on hexane)
