1/3
Looks like no tags are added yet.
Name | Mastery | Learn | Test | Matching | Spaced | Call with Kai |
|---|
No analytics yet
Send a link to your students to track their progress
Rule for ARITHMETIC sequence

Sum of ARITHMETIC series

rule for GEOMETRIC sequence

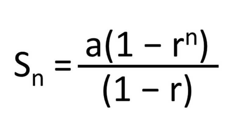
sum for GEOMETRIC sequence
