1/26
Looks like no tags are added yet.
Name | Mastery | Learn | Test | Matching | Spaced | Call with Kai |
|---|
No analytics yet
Send a link to your students to track their progress
Features of the Neuromodulators
Chemicals
• Change the strength of synapses and change the intrinsic properties of neurons (e.g., a modulatory input can turn a silent cell into a rhythmically bursting cell).
• Slow time course: Modulatory actions can last seconds, minutes, hours or even days.
• Their actions are often subtle. For instance, the efficacy of another second synapse is increased or decreased by the action of the modulator.
• They typically act via complex biochemical mechanisms.

Neuromodulators Can Initiate Changes in
Ion Channel Properties
Gene Expression
Which Molecules Act as Neuromodulators?
• In the brain, monoamines and peptides mostly act as modulators.
• However, any transmitter can have a modulatory action if it binds to the right kind
of (usually G protein-coupled) receptor.
Biogenic Amines and Neuropeptides Often Act as
Neuromodulators
Important:
-Amines are synthesized from amino acids
-Neuropeptides are synthesized from genes that encode a peptide precursor.
This precursor then gives rise to one or more mature neuropeptides.
Biogenic Amines (selection)
-Dopamine
-Norepinephrine (= noradrenaline)
-Epinephrine (= adrenaline)
-Octopamine (invertebrates only)
-Serotonin (= 5-HT)
-Melatonin
Neuropeptides (selection)
-Gonadotropin Releasing Hormone (GnRH)
-Arginine Vasopressin (AVP)
-Oxytocin (OT)
-Somatostatin
-Growth Hormone Releasing Hormone (GHRH)
-Proopiomelanocortin (POMC)
Comparison with “Classical” Neurotransmitters
Biogenic Amines can do both

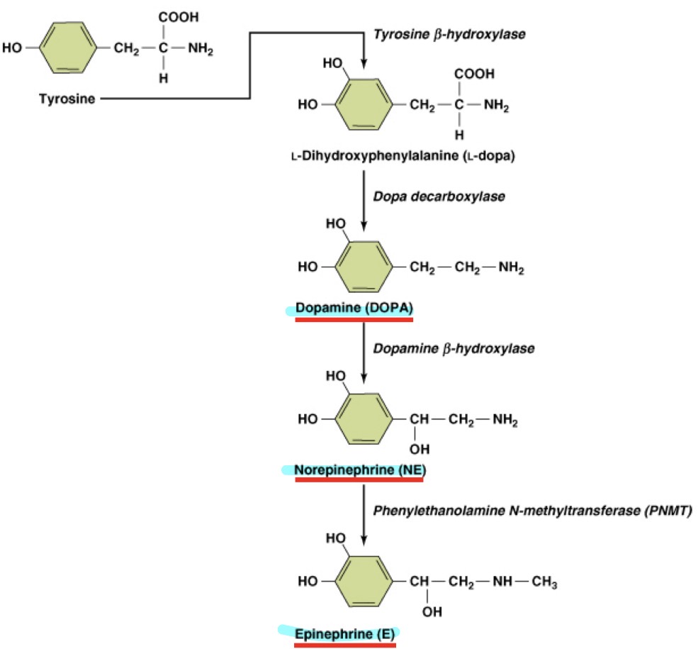
Synthesis of Catecholamines

Synthesis of Serotonin (5-HT)
Why you are tired after eating a lot of food

Neuropeptide Genes Encode a Preprohormone Precursor

Modulation of a Simple Circuit
Example 1: Gill Withdrawal Reflex in the Sea Slug

Shifting the Threshold

5-HT Modulates the Gill Withdrawal Reflex

Modulation of a Simple Circuit
Example 2: Escape Response in Fish
Social Control of the Escape Response
the African cichlid fish Astatotilapia burtoni, males are either socially dominant or subordinate, though this difference is reversible. Dominant is more colorful so have higher escape response than subordinate
Due to their conspicuous coloration and behavior, territorial males are more exposed to predation by kingfisher birds. Trade off if more reproduction with low survival
Dominant Males are More Likely to Respond to an Auditory Startle Stimulus …Over a Range of Stimulus Intensities
Dom males responded m to sounds and more to higher sound intensities

The M-Cell Circuit Controls Startle-Escape Behavior
The M-Cell is More Excitable in Dominant Males because they need to,escape predators more

Which neurochemicals modulate M-cell excitability?
Serotonin (5-HT) is Present in Varicosities Near the M-Cell and Its Dendrites
Treatment with 5-HT Inhibits Escape Behavior in Dominant Males
Their escape,probability goes down when treated with seratonin

A Serotonin Recepor Antagonist blank Escape Probability AND M-Cell EPSPs in Subordinate Males
Increases

The Same Male Will Change Its Escape Response Probability Depending on Its Social Status
But only seen in yellow males because The Flank of Dominant Yellow Males is More Reflectant in the UV and Yellow!

The Flank of Dominant Yellow Males is the Most Conspicuous to Both Conspecifics and Avian Predators

Does this Mean Yellow Males Are More Likely to Get Preyed Upon?
This has not been tested in A. burtoni. However Conspicuous Yellow Males of Another Cichlid Species ARE More Likely to be Preyed Upon

Modulation of a Simple Circuit 3. Crayfish Escape Response
Backflip away if stimulus is in the front
Front flip away if stimulus is from the back or tail
• LG (lateral giant) fibers and MG (medial giant) fibers mediate different “all or none” behavioral responses:
Convergent circuitry leading to a fast, coordinated response
In addition to these GIANT FIBER pathways, there is another pathway, the non-giant
fiber (non-G) pathway, which has no focal point (i.e., no command neuron).

This Population Code results in a neuronal democracy:
graded but slow response. Which allows animals to modulate responses
Modulation of a Simple Circuit Example 3: Crayfish Escape Circuit
Medial giant fiber system to backflip away if stimulus is in the front
Lateral giant fiber system to front flip away if stimulus is in the back or tail
Sensory neurons To Interneurons To “Giant” neurons To Motor neurons To Muscles for tailflip escape
5-HT Modulates the Crayfish Escape Circuit
5-HT varicosities* Alerts firing of LG lateral giant
5-HT Modulation of Crayfish Escape Circuit Depends on Social Status
5-HT facilitates LG function/escape in isolated and dominant animals. This facilitation gradually changes into inhibition (subordinate escape response is exhausted) in subordinate crayfish as they continue to experience social defeat. Continuously mounting escape responses would be maladaptive.

The Lateral Giant Neuron is a
“Command Neuron”
Some neurons represent “focal” points of a circuit:
When they fire an action potential(s), there is a coordinated, complex motor output!
Can be modulated by seratonin to fire
For a neuron to be called a “command” neuron it must be both:
a) Necessary for the behavioral output
b) Sufficient for the behavioral output
