BIOCHEM - All 20 Amino Acids, Protease, Types of Globins and Proteins

0.0(0)
studied byStudied by 15 people
0.0(0)
full-widthCall with Kai
GameKnowt Play
New
learnLearn
examPractice Test
spaced repetitionSpaced Repetition
heart puzzleMatch
flashcardsFlashcards
Card Sorting

1/61

encourage image

There's no tags or description

Looks like no tags are added yet.

Study Analytics
Name
Mastery
Learn
Test
Matching
Spaced

No study sessions yet.

62 Terms

1
New cards

A Ala Alanine

Give the symbol, abbreviation, Name of this amino acid

<p>Give the symbol, abbreviation, Name of this amino acid</p>
2
New cards

G Gly Glycine

Give the symbol, abbreviation, Name of this amino acid

<p>Give the symbol, abbreviation, Name of this amino acid</p>
3
New cards

I Ile Isoleucine

Give the symbol, abbreviation, Name of this amino acid

<p>Give the symbol, abbreviation, Name of this amino acid</p>
4
New cards

L Leu Leucine

Give the symbol, abbreviation, Name of this amino acid

<p>Give the symbol, abbreviation, Name of this amino acid</p>
5
New cards

M Met Methionine

Give the symbol, abbreviation, Name of this amino acid

<p>Give the symbol, abbreviation, Name of this amino acid</p>
6
New cards

P Pro Proline

Give the symbol, abbreviation, Name of this amino acid

<p>Give the symbol, abbreviation, Name of this amino acid</p>
7
New cards

V Val Valine

Give the symbol, abbreviation, Name of this amino acid

<p>Give the symbol, abbreviation, Name of this amino acid</p>
8
New cards

Valine, Alanine, Methionine, Proline, Leucine, Isoleucine, Glycine

List the amino acids in the Nonpolar, aliphatic R group

9
New cards

Nonpolar, aliphatic R group

Hydrophobic amino acids often grouped in the middle of a folded protein. Name the Group

10
New cards

F Phe Phenylalanine

Give the symbol, abbreviation, Name of this amino acid

<p>Give the symbol, abbreviation, Name of this amino acid</p>
11
New cards

Y Tyr Tyrosine pKa: 10.07

Give the symbol, abbreviation, Name of this amino acid, and identify pka

<p>Give the symbol, abbreviation, Name of this amino acid, and identify pka </p>
12
New cards

W Trp Tryptophan

Give the symbol, abbreviation, Name of this amino acid

<p>Give the symbol, abbreviation, Name of this amino acid</p>
13
New cards

Phenylalanine, Tyrosine, Tryptophan

List the amino acids in the Aromatic R Group

14
New cards

Relatively nonpolar (hydrophobic)

Aromatic R group amino acids are ____

15
New cards

S Ser Serine

Give the symbol, abbreviation, Name of this amino acid

<p>Give the symbol, abbreviation, Name of this amino acid</p>
16
New cards

T Thr Threonine

Give the symbol, abbreviation, Name of this amino acid

<p>Give the symbol, abbreviation, Name of this amino acid</p>
17
New cards

C Cys Cysteine , pKa: 8.18

Give the symbol, abbreviation, Name of this amino acid, identify pka

<p>Give the symbol, abbreviation, Name of this amino acid, identify pka</p>
18
New cards

N Asn Asparagine

Give the symbol, abbreviation, Name of this amino acid

<p>Give the symbol, abbreviation, Name of this amino acid</p>
19
New cards

Q Gln Glutamine

Give the symbol, abbreviation, Name of this amino acid

<p>Give the symbol, abbreviation, Name of this amino acid</p>
20
New cards

Serine Threonine Cysteine Asparagine Glutamine

List the amino acids in the Polar, Uncharged R Group

21
New cards

K Lys Lysine : 10.53

Give the symbol, abbreviation, Name of this amino acid, identify pka

<p>Give the symbol, abbreviation, Name of this amino acid, identify pka</p>
22
New cards

R Arg Arginine pKa: 12.48

Give the symbol, abbreviation, Name of this amino acid, identify pka

<p>Give the symbol, abbreviation, Name of this amino acid, identify pka</p>
23
New cards

H His Histidine

Give the symbol, abbreviation, Name of this amino acid, identify pka : 6.00

<p>Give the symbol, abbreviation, Name of this amino acid, identify pka : 6.00</p>
24
New cards

Lysine, Arginine, Histidine

List the amino acids in the Positively Charged R Group

25
New cards

D Asp Aspartate, pKa: 3.65

Give the symbol, abbreviation, Name of this amino acid, identify pka

<p>Give the symbol, abbreviation, Name of this amino acid, identify pka</p>
26
New cards

E Glu Glutamate pKa:4.25

Give the symbol, abbreviation, Name of this amino acid, identify pkA

<p>Give the symbol, abbreviation, Name of this amino acid, identify pkA</p>
27
New cards

Trypsin

Cleaves at C-side of Lys, Arg (except when followed by Pro)

28
New cards

Chymotrypsin

Cleaves at C-side of aromatic amino acids (Phe, Trp, Tyr).

29
New cards

Pepsin

Cleaves at N-side of aromatic amino acids (Tyr, Trp, Phe) and Leu.

30
New cards

Carboxyl peptidase

Cleaves amino acid at the C-terminus.

31
New cards

Cyanogen bromide

Cleaves at C-terminal side of methionine residues.

32
New cards

Oligomer/Multimer:

Multisubunit protein, with repeating structural units called protomers.

33
New cards

Globular

Folded into spherical/globular shape

34
New cards

Intrinsically disordered proteins

Lack stable tertiary structures, often lack a hydrophobic core, high in charged residues and Pro. Facilitate interaction with multiple partners.

35
New cards

Fibrous proteins

Long strands or sheets, structural function

36
New cards

Edman Degradation

creates phenylthiohydantion PTH dervatives

37
New cards

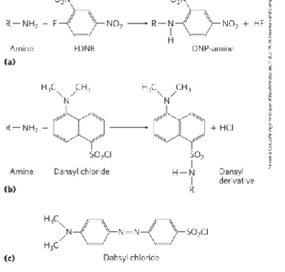
Dansyl Chloride

Creates Dansyl derivates of the amino aid at the n-terminus

38
New cards

Lithium Borohydride

Followed by acid hydroloysis create alchol derivates at c-terminus. classical used to identify c-terminal amino acids

39
New cards
<p>FDNB, dansyl chloride, dabsyl chloride</p>

FDNB, dansyl chloride, dabsyl chloride

label amino-terminal a-amino group and e-amino group of lysine residues

40
New cards

Aromatic amino acids

Phenylalanine (Phe, F) → nonpolar, hydrophobic

Structure at pH 7: +H₃N–CH(CH₂–C₆H₅)–COO⁻

Tyrosine (Tyr, Y) → polar (hydrophilic, can H-bond)

Structure: +H₃N–CH(CH₂–C₆H₄–OH)–COO⁻

Tryptophan (Trp, W) → relatively nonpolar but has N in indole ring, amphipathic

Structure: +H₃N–CH(CH₂–indole)–COO⁻

41
New cards

Sulfur-containing amino acids

Cys, C — +H₃N–CH(CH₂–SH)–COO⁻ — polar (forms disulfides)

Met, M — +H₃N–CH(CH₂–CH₂–S–CH₃)–COO⁻ — hydrophobic

42
New cards

Acidic amino acids

Aspartic acid (Asp, D) → acidic, hydrophilic (side chain COO⁻ at pH 7)

Structure: +H₃N–CH(CH₂–COO⁻)–COO⁻

Glutamic acid (Glu, E) → acidic, hydrophilic (side chain COO⁻ at pH 7)

Structure: +H₃N–CH(CH₂–CH₂–COO⁻)–COO⁻

43
New cards

Basic amino acids

Lysine (Lys, K) → basic, hydrophilic (side chain NH₃⁺ at pH 7)

Structure: +H₃N–CH(CH₂)₄–NH₃⁺ –COO⁻

Arginine (Arg, R) → basic, hydrophilic (guanidinium group)

Structure: +H₃N–CH(CH₂)₃–NH–C(=NH₂⁺)–NH₂ –COO⁻

Histidine (His, H) → polar, weakly basic (imidazole ~ partially protonated near pH 7)

Structure: +H₃N–CH(CH₂–imidazole)–COO⁻

44
New cards

Amide amino acids

Asparagine (Asn, N) → polar, hydrophilic

Structure: +H₃N–CH(CH₂–CONH₂)–COO⁻

Glutamine (Gln, Q) → polar, hydrophilic

Structure: +H₃N–CH(CH₂–CH₂–CONH₂)–COO⁻

45
New cards

Branched-chain amino acids (BCAAs)

Valine (Val, V) → nonpolar, hydrophobic

Structure: +H₃N–CH(CH(CH₃)₂)–COO⁻

Leucine (Leu, L) → nonpolar, hydrophobic

Structure: +H₃N–CH(CH₂–CH(CH₃)₂)–COO⁻

Isoleucine (Ile, I) → nonpolar, hydrophobic

Structure: +H₃N–CH(CH(CH₃)–CH₂–CH₃)–COO⁻

46
New cards

Cyclic saturated secondary amino acid

Pro, P — +H₂N⁺ (in pyrrolidine ring) –CH–COO⁻ — hydrophobic

47
New cards

Paper Electrophoresis

Separation of amino acids/peptides on paper based on charge; molecules migrate in an electric field according to net charge at a given pH.

48
New cards

Dialysis

Separates small molecules from macromolecules using a semipermeable membrane; diffusion allows salts/small solutes to pass while proteins/DNA stay inside

49
New cards

Ion-Exchange Chromatography

Elution achieved by increasing salt concentration or changing pH.

50
New cards

Gel Filtration Chromatography (Size-Exclusion)

Separates proteins based on size; larger molecules elute first because they bypass pores, while smaller molecules are delayed.

51
New cards

Affinity Chromatography

Separates proteins by specific binding interactions (e.g., antibody–antigen, substrate–enzyme). Protein of interest binds to a ligand immobilized on the matrix.

52
New cards

Immobilized Metal Affinity Chromatography (IMAC/His-tag purification)

Uses Ni²⁺, Co²⁺, or Zn²⁺ to bind histidine-tagged proteins. Bound proteins are eluted by lowering pH or adding imidazole.

53
New cards

SDS-PAGE (SDS–Polyacrylamide Gel Electrophoresis)

Denatures proteins with SDS, giving uniform negative charge; separates by molecular weight. Smaller proteins move faster through the gel.

54
New cards

Isoelectric Focusing

Separates proteins based on isoelectric point (pI). Proteins migrate in a pH gradient until they reach their pI (net charge = 0).

55
New cards

2D Gel Electrophoresis

Combines IEF (first dimension) and SDS-PAGE (second dimension) to separate proteins by both pI and size.

56
New cards

X-ray Diffraction / Protein Crystallography

Determines 3D structure of crystallized proteins. X-rays diffract off electron clouds; Fourier transform gives electron density map.

57
New cards

NMR Spectroscopy

Studies proteins in solution. Uses nuclear spin (¹H, ¹³C, ¹⁵N, etc.) to give structural and dynamic information, including conformational changes.

58
New cards

Cryo-Electron Microscopy (Cryo-EM)

Visualizes biomolecules frozen in vitreous ice. Useful for large complexes and membrane proteins without need for crystallization.

59
New cards

Electrospray Ionization Mass Spectrometry (ESI-MS)

Produces charged protein/peptide ions in gas phase; measures mass-to-charge ratio (m/z) for molecular weight determination.

60
New cards

MALDI-MS (Matrix-Assisted Laser Desorption Ionization)

Soft ionization technique for peptides/proteins. Sample co-crystallized with matrix, hit with laser, ions measured by time-of-flight MS.

61
New cards

LC-MS/MS Peptide Sequencing

Uses liquid chromatography coupled with tandem MS. First MS separates peptides, second MS fragments them to determine amino acid sequence.

62
New cards

MS/MS Cleavage

Fragmentation pattern in tandem MS used to deduce peptide sequence.