1/21
Looks like no tags are added yet.
Name | Mastery | Learn | Test | Matching | Spaced | Call with Kai |
|---|
No analytics yet
Send a link to your students to track their progress
Locus Definition of a Parabola
Set of all points equidistant from a focus to a directrix
Locus Definition of a Hyperbola
Set of all points in the plane such that the absolute value of the difference of each distances from F1 and F2 to (x,y) is a constance distance, d
Locus Definition of an Ellipse
Set of all points in the plane such that the sum of each of the distances from F1 and F2 is d
Definition of a Circle
Set of points that are equidistant (radius), to a fixed point (center) in a two-dimensional plane
Identified Circle
Same number & same sign
Identified Parabola
One square (x² or y²)
Identified Ellipse
Same sign & different number
Identified Hyperbola
Different sign & same number
Horizontal Ellipse Equation

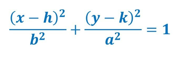
Vertical Ellipse Equation

Horizontal Hyperbola Equation

Vertical Hyperbola Equation

Vertical Parabola Equation

Horizontal Parabola Equation

Focus for an Ellipse
a² - b² = c²
Vertical Hyperbola
Negative X
Horizontal Hyperbola
Positive Y
Horizontal Ellipse
Bigger under X
Vertical Ellipse
Bigger under Y
Focus for a Hyperbola
a² + b² = c²
Eccentricity
c/a
Latus Rectum
4p