1/38
Looks like no tags are added yet.
Name | Mastery | Learn | Test | Matching | Spaced | Call with Kai |
|---|
No analytics yet
Send a link to your students to track their progress
Reciprocal Identity
sin θ=
Reciprocal Identity

Reciprocal Identity
cos θ=
Reciprocal Identity

Reciprocal Identity
tan θ=
Reciprocal Identity

Reciprocal Identity
csc θ=
Reciprocal Identity

Reciprocal Identity
sec θ=
Reciprocal Identity

Reciprocal Identity
cot θ=
Reciprocal Identity

Pythagorean Identity (sin/cos)
1=
Pythagorean Identity

Pythagorean Identity
cos² θ=
Pythagorean Identity

Pythagorean Identity
sin² θ=
Pythagorean Identity

Pythagorean Identity
1 + tan² θ
Pythagorean Identity

Pythagorean Identity
cot² θ + 1=
Pythagorean Identity

Quotient Identity
tan θ=
Quotient Identity

Quotient Identity
cot θ=
Quotient Identity

Pythagorean Identity
tan² θ=
Pythagorean Identity
sec² θ - 1
Pythagorean Identity (sec/tan)
1=
Pythagorean Identity
sec² θ - tan² θ
Pythagorean Identity
cot² θ=
Pythagorean Identity
csc² θ - 1
Pythagorean Identity (csc/cot)
1=
Pythagorean Identity
csc² θ - cot² θ
Even/Odd Identity
sin(-x)=
Even/Odd Identity
-sin x
Even/Odd Identity
cos(-x)=
Even/Odd Identity
cos x
Even/Odd Identity
tan(-x)=
Even/Odd Identity
-tan x
Even/Odd Identity
csc(-x)=
Even/Odd Identity
-csc x
Even/Odd Identity
sec(-x)=
Even/Odd Identity
sec x
Even/Odd Identity
cot(-x)=
Even/Odd Identity
-cot x
Co-Function Identity
cos (π/2-x)=
Co-Function Identity
sin x
Co-Function Identity
sin (π/2-x)=
Co-Function Identity
cos x
Co-Function Identity
tan (π/2-x)=
Co-Function Identity
cot x
Co-Function Identity
cot (π/2-x)=
Co-Function Identity
tan x
Co-Function Identity
csc (π/2-x)=
Co-Function Identity
sec x
Co-Function Identity
sec (π/2-x)=
Co-Function Identity
csc x
Sum/Difference Identity
sin(a+b)=
Sum/Difference Identity
(sin a)(cos b) + (sin b)(cos a)
Sum/Difference Identity
sin(a-b)=
Sum/Difference Identity
(sin a)(cos b) - (sin b)(cos a)
Sum/Difference Identity
cos(a+b)=
Sum/Difference Identity
(cos a)(cos b) - (sin a)(sin b)
Sum/Difference Identity
cos(a-b)=
Sum/Difference Identity
(cos a)(cos b) + (sin a)(sin b)
Sum/Difference Identity
tan(a+b)=
Sum/Difference Identity

Sum/Difference Identity
tan(a-b)=
Sum/Difference Identity

Double Angle Identity
sin(2θ)=
Double Angle Identity
2 sin a cos a

Double Angle Identity
tan(2θ)=
Double Angle Identity

Double Angle Identity
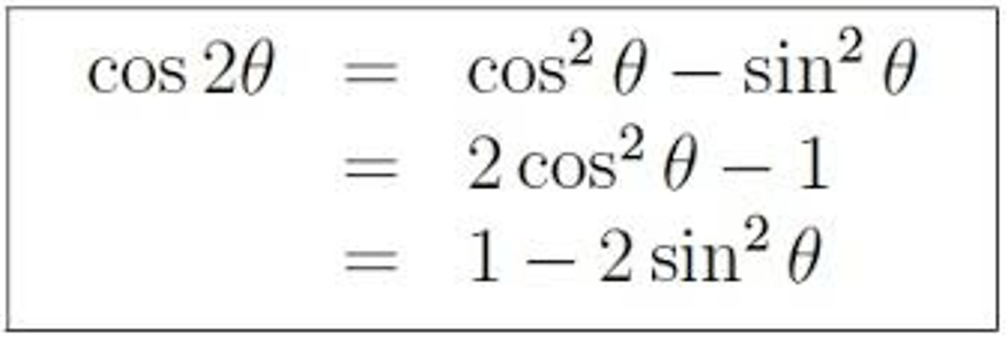
cos(2θ)=
Double Angle Identity

Half Angle Identity
sin(θ/2)=
Half Angle Identity
