1/462
Looks like no tags are added yet.
Name | Mastery | Learn | Test | Matching | Spaced | Call with Kai |
|---|
No analytics yet
Send a link to your students to track their progress
quadratic formula

completed square of ax² +bx +c
a(x+b/2a)² +(c-b²/4a)
domain
set of possible inputs for a function
range
set of possible outputs of a function
coordinates of turning point
f(x)=a(x+p)² + q (-p,q)
discriminant
b²-4ac
how many roots does b²-4ac> 0
2 distinct real roots
how many roots does b²-4ac= 0
repeated solution,tangent
how many roots does b²-4ac< 0
no real roots,no touching of x axis
z/
integers
E
belongs to
N
natural numbers-positive integers
r
any number-real
positive cubic graph


negative cubic graph


positive quartic graph
w shae


negative quartic graph

where are the asymptkotes if graph y=k/x and k/x²
x=0 y=0
y=k/x

y=k/x²

asymptote
line which the graph approaches but never reaches
what if repeated root
tangent
y=f(x) + a
move vertically up
y+f(x+a)
move horizontally left
y=af(x)
times y by a vertical
y=f(ax)
timed x by 1/a horizontal
y=-f(x)
reflection in x
y=f(-x)
reflection in y
equation of circle centre (a,b) and radius r
(x-a)²+(y-b)²=r²
equation of circle in other form
x²+y²+2fx+2gy+c=0
centre (-f,-g)
radius √f²+g²-c
complete square
if prq angle is 90
then r lies on circle with diameter pq
what is angle in semicircle
right angle
cosine rule to find missing side
a²=b²+c²-2bc cos A
cosine rule to find angle
cos A= b²+c²-a² /2bc
sine rule to find angle
a/sinA = b/sinB = c/sinC
sine rule to find missing angle
sin A/a = sin B/b =sinC/c
2 angles from sine rule
can be both obtuse and acute so to work out other sinx=sin(180-x)
area of triangle
1/2ab sinC
sin graph
repeats every 360 and crosses the x axis at …-180,0,180,360
has a maximum value of 1 and minimum value of -1

cos graph
repeats eveyr 360 and crosses x axis at …-80,90,270,450…
has maximum value of 1 and minimum value of -1

tan graph
repeats every 180 and crosses x axis at …-180,0,180,360…
has no maximum or minimum values
has vertical asymptotes at x=-90,x=90,x=270…

angle quadrants
CAST
all positive in fist quadrant
only sin positive in 2nd
only tan positive in third
only cos positive in 4th

angle size in firts quadrant
θ
angle size in 2nd quadrant
180 - θ
sin(180-θ)=sin θ
cos(180-θ)=-cosθ
tan(180-θ)=-tan θ
angle size in 3rd quadrant
180 + θ
sin(180+θ)=-sin θ
cos(180+θ)=-cosθ
tan(180+θ)=tan θ
angle size in 4th quadrant
360 - θ
sin(360-θ)=-sin θ
cos(360-θ)=cosθ
tan(360-θ)=-tan θ
sin² and cos² identity
sin²θ+cos²θ= 1
tan,cos,sin identity
tanθ=sinθ/cosθ
when do silutions only exist when sinθ=k and cosθ=k
-1<k<1
what values exist for tanθ=p
all values of p
principal value
when you use inverse trigonometric function
range of principal value for cos^-1
0<θ<180
range of principal values for sin^-1
-90<θ<90
rang eof principal values of tan^-1
-90<θ<90
unit vector
vector of length 1
unit vector in direction of a
a/│a│
^
a
unit vector
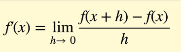
differentiating from first principles


gradient of tangent to curve
same as gradient at point
gradient of normal at point
negative reciprocal of the curve at that point
increasing function
f’(x)>0
decreasing function
f’(x)<0
gradient of stationary point
0
max point
d²y/dx²<0
min point
d²y/dx²>0
point of infliction
d²y/dx² = o then checj points either side
how to skect max/min point on gradietn function grah
points cross x axis
how to skect point of inflection on gradietn function grah
touch x axis
how to skect positive gradient on gradietn function grah
above x axis
how to skectnegative gradient on gradietn function grah
below x axis
how to skect vertical assymptote on gradietn function grah
vertical assymptote
how to skect horizontal assymptote on gradietn function grah
assymptote at y =o x axis
Cylinder surface area
2PIrh +2Pi r²
what must be added when integrated
+c
y=a^x graph

y=-a^x

y=1/a ^x

y=-1/a ^x

a^x=n in logs

what does log a base a equals
1

what does log 1 base a equals
0

graph of y=ln x
reflection of graph y=e^x in line y=x

what is e^lnx equivalent to
ln(e^x)=x
lnx in log
log x base e
ln(x)=b as e
e^b =x
ln(-x) graph

-ln(x) graph

how to draw modulus function
y=|ax+b| sketch y=ax + b then reflect section below x axis in x axis

sketch the graph of y = f(|x|)
Sketch the graph of y = f(x) for x > 0. • Reflect this in the y-axis.
standard deviation
square root of variance σ
variance
σ²
standard deviation equation
√∑(x-x̄)²/n = √∑x²/n -(∑x/n)² =√sxx/n
mean of coded data
ȳ=x̄-a/b
standard deviation of coded data
σy=σx/b where σx is standard deviation of original data
How to write X as a normally distributed random variable
X ~ N(µ,σ²)
inverse normal distribution
P(X<a)=p
standard notmal distribution
mean 0 and standard deviation 1
Z~N(0,1²)
formula to code variable x that is ormally distributed into standard normal distribution
z=x-μ / σ
how can the binomial distribution be approximated
μ=np
σ=√np(1-p)
percentage error equation
approx-exact/exact x 100