1/10
Looks like no tags are added yet.
Name | Mastery | Learn | Test | Matching | Spaced |
|---|
No study sessions yet.

Acid-Catalyzed Hydration (Markovnikov)
Typical Reagents: Dilute Acid (H2SO4, H3PO4, etc.)
Predict Product. Know this mechanism.


Addition of Hydrogen Halides to Alkenes (Markovnikov)
Typical Reagents: HX
Predict Product. Know this Mechanism


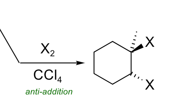
Addition of Halogen (Anti-addition, stereospecific). Vicinal Dihalide forms.
Typical Reagents: X2 and CCl4
Predict Product.


Formation of Vicinal Halohydrin (Anti-addition, stereospecific)
Typical Reagents: X2 and H2O
Predict Product. Know this Mechanism


Hydroboration Oxidation (Anti-Markovnikov, Syn-addition, stereospecific).
Typical Reagents 1.) BH3 . THF and 2.) H2O2/KOH
Predict Product. No need to know mechanism.


Reduction via Catalytic Hydrogenation (syn-addition, think of it as reducing double bond to nothing)
Typical Reagents: H2, Pd, Pt, PtO2 etc. (Catalysts and H2)
Predict Product.


Direct Epoxidation (stereospecific and syn addition)
Typical Reagents: MCPBA, CH2Cl2
Predict Product. Know this Mechanism


Indirect Epoxidation.
1.) Formation of Vicinal Halohydrin
2.) Add Strong Base
Typical Reagents: 1.) X2, H2O and 2.) KOH
Predict product. May need to know Mechanism


Syn Hydroxylation
Typical Reagents: OsO4 and NMO.H2O
Predict Product.


Anti-Hydroxylation
Typical Reagents: Dilute Acid (H3O+ and H2O)
Predict Product.


Ozonolysis
Typical Reagents:
1.)O3 and 2.) (CH3)2S or H2O/Zn
or
Cleavage of Vicinal Diol
1.) Syn Hydroxylation
2.) NaIO4
Predict Product
