1/8
Looks like no tags are added yet.
Name | Mastery | Learn | Test | Matching | Spaced | Call with Kai |
|---|
No analytics yet
Send a link to your students to track their progress

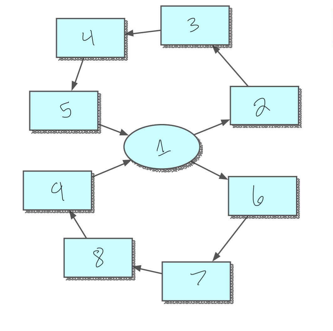
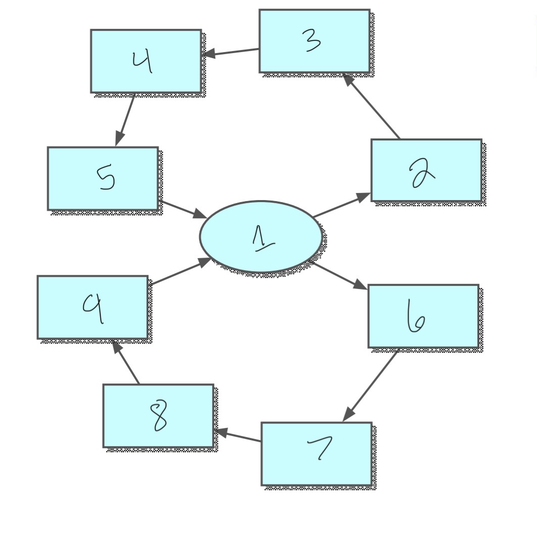
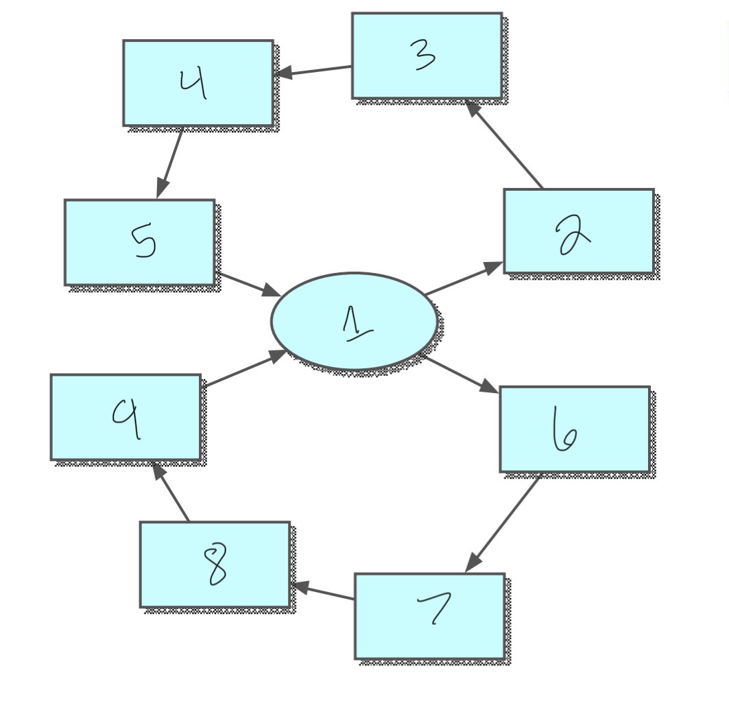
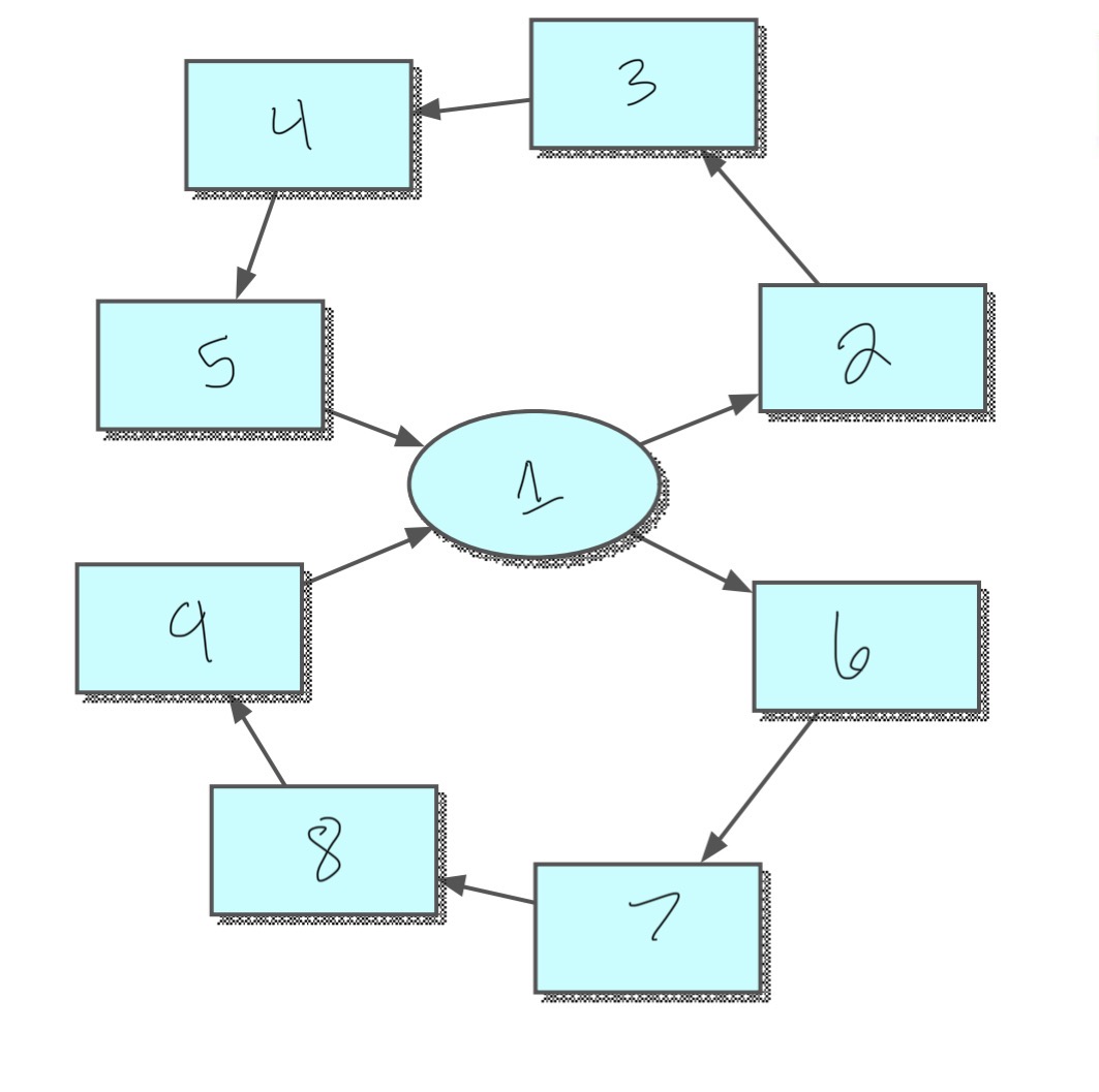
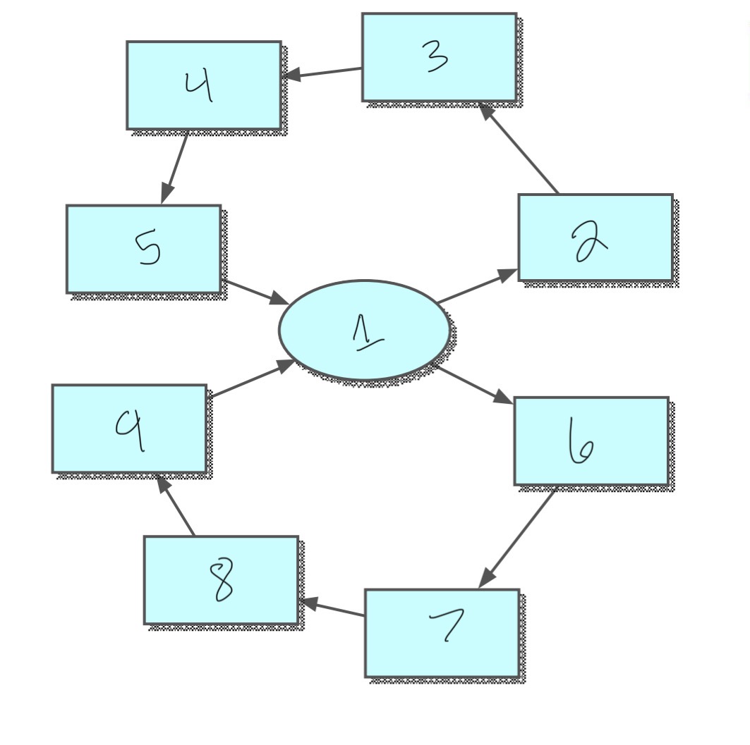
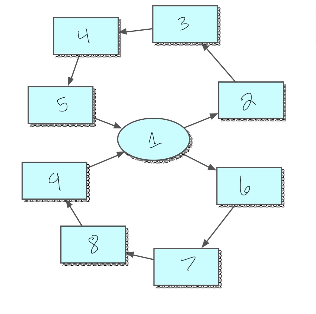
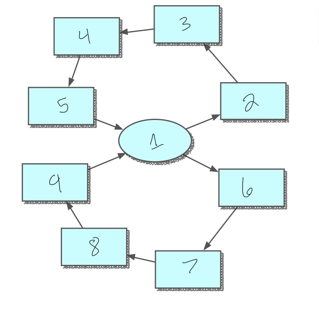
1
Normal blood calcium level

2
High blood calcium level

3
Thyroid releases calcitonin into blood

4
Hormone targets bone, increasing osteoblast activity

5
Calcium deposits in bone

6
Low blood calcium level

7
Parathyroid gland releases parathyroid hormone into blood

8
Parathyroid horome targets bone, kidneys, and intestine

9
Increased bone breakdown (osteoclast) and calcium absorbtion