1/75
Looks like no tags are added yet.
Name | Mastery | Learn | Test | Matching | Spaced | Call with Kai |
|---|
No analytics yet
Send a link to your students to track their progress
What is a model?
An abstract description of a concrete system
Simplified, often mathematical, representation of system
Think of daily stimuli
“baby speak,” simplified language
Why are models useful and awful?
simplification of a complex system (main effects)
every single model is wrong
Keystone species
High impact animals

Ecological Modelling
P = predator, H = herbivore, B = basal (animal + plant)
some models more wrong than others
must seek models that are faithful to reality
implies a specific purpose
a purposeful and faithful simplification of reality
models subset of the real world, not the whole world


Scales of ecology
Individual→ population→ community→ ecosystem→ biosphere
Population
Individuals of the same species lining in a defined area
how are populations described
Studies at population level:
Emphasis on variation
Number
Density
Composition
Geographic range (distribution/range)
The extent of land or water within which a population lives
Abundance
The total number of individuals
Density
The number of individuals per unit are
Composition (Demographics)
The “makeup” in terms of age, sex or genetics (relatedness)
Community
Collection of all populations living together in a defined area
→ assemblages of species
boundaries are not always rigid and may cover small or large areas
Include many types of interactions
Predation
Competition
Herbivory
Studies at community level:
diversity
Richness (Total)
Evenness (distribution)
Species interactions
statements about succession
Communities follow a pattern of succession at some stable climax of assemblages (wrong statement)—Clements.
“super organism”
Individualistic view: not changes in species assemblages, but responses by individual species to enviromental gradients (more context dependent) - Gleason
depends on current enviroment conditions
individuals response to individual conditions
Gause's Paramecium experiment
Tested theory on protozoan pop. growing in small bottles, found that species grown separately achieved stable densities but when pairs of species were grown together in a simple environment one species always won out and the other species became extinct
competitive exclusion principle
Two species cannot coexist on one limited resource - Gause
Niche
Range of conditions that a species can tolerate
Fundamental niche
Parts of the environment that a species could occupy in the absence of interactions with other species - abiotic conditions (pre-interactions)
The range of abiotic conditions
range of temperatures
Humidity
Salinity
Realized niche
the range of biotic and abiotic conditions under which a species can persist (biotic: competition, predation) - post interactive
the range of abiotic and biotic conditions under which a species can persist
determines the geographic
large scale
Small scale
variation in the enviroment creates geographic ranges that are composed of small patches of suitable habitat
Reciprocal transplant experiment
When planted outside their natural elevations, the two species grew poorly and experienced lower survival

Limiting similarity
Minimal niche difference between two competing species that would allow coexistence
d/w ~ 1
d = separation in mean resources
k = resources continuum
w = standard deviation
interspecific competition is only primary factor
universal limits (context dependent)
greater plurality of factors

Four factors to explain species diversity
Process that determine “success” of species
Changes in relative abundance due to chance events
Movements of spp in/ out of communities
Generation of new species
selection
process that determines the relative success of species w/in a local community
Drift
changes in species relative abundance to chance or other random effects
Dispersal
is the movement of individuals + species into and out of local communities
speciation
operates over spatial scales larger then the local community and it is process that ultimatlt generates diversity in regional species
Patterns of diversity
patterns of diversity are ubiquitous
despite greater area at northern latitudes
diversity as species richness larger charismatic organisms

Measuring diversity (species richness)
defining a community boundary is arbitary (quadret, transect)
problem: richness strongly correlated (+) w/sample size
richness scales non-linearly w/samples size/affect also arbitary
Type of standirization often works for abundance for biomass, which scales roughly linearly w/area
approach dont work for species richness b/c of non linear relationship between richness + sample size
aspects of diversity
species richness
genetic diversity
functional diversity (how many fitted niches)
Phylogenetic diversity (how much evolutionary history)

Species accumulation curve
walking through a new community, recording observed species
green dashed curve is first set of data
blue curve is multiple random walks which have been averaged
blue dashed line highly uneven distribution with lots of rare species increasing slowly (encounter common species occasionally encounter rare species)
if curve is up “increasing deceleration function”
If curve is down “decreasing deceleration function”
Highly uneven distribution curves with lots of rare species increase slowly

Alpha diversity
The number of species found at a local scale
richness found at a local scale
Beta diversity
Measure of difference in species composition or species turnover between two or more habitats or local sites within a region
the change (species turnover) in richness sites w/in a region
Gamma diversity
A measure of species richness in a region
B= a/y

Factors that change alpha & beta diversity
Unevenness ( lower a + increased B)
Dispersion (clumped vs random) - lower a + increased b
similar affect s unevenness
Faster increase with random
Higher regional (gamma diversity) - decreased a + increased B
Smaller local plot area - decreased a + increased b
like sampling fewer individuals
Lower density of individuals - increase a + decrease B
fewer individuals per plot
Species-area relationship (SAR)
S = cA^z
S=number of species
A=area
C&z=fitted constant
Large areas contain more species than smaller areas
Larger areas contain greater variety of habitat types
Different species have different habitat affinities
Larger areas = more species
larger areas support larger populations (lower chance of extinction)

SARs two drivers
immigration:
rate declines with # of resident species (0 when source and sink have the same species)
Extinction:
rate increases with number of resident species
Just more species to go extinct
Number of individuals/species decreases as total residence increases (smaller populations)
Even in areas of uniform habitat, larger areas= more species
larger areas support larger population (lower chance of extinction)
Intersection =equilibrium point (immigration-extinction equilibrium richness

Are most species common or rare?
most communities:
few common species
Many rare species
Many potential causes
periodic disturbances (fire, salt marshes)
Sampling & transient (migrating) species
imperfect
Competitive exclusion
few dominants outcompete
Freq. dep predation
common vs rare
Genetic variation
small = pop low genetic var (vulnerable to disturbance/disease
Productivity and species richness
broad scales: species richness increases with productivity
productivity = conversion of resources to biomass
Regional (large scale) positive (sometimes decelerating)
high productivity = high richness
Smaller scale: varies patterns - positive, negative “hump shape”, “U shape”
productivity peaks at intermediate species richness
richness limited by abiotic stress in unproductive environments and a species interaction in productive ones
Resources
Nutrient limitation + light limitation
Habitat frequency
High/low productivity environments rare
Varies from low to high annually average intermediate
Latidudinal diversity gradient
pattern of the tropics having far more diversity than polar regions

Null model
Geometric constrains on species ranges
pattern generating model that is based on randomization of ecological fate or random sampling from a knwon or imagined distribution
outcome of placing species ranges on a bounded domain - mid domain effect
Criticisms
is it truly neutral to processes it claims to rule out (climate)
Fitting observed data to model (high variance) applies to mammals + elevation
Predicts high diversity in centre of continents (not found)
Ecological hypotheses
Focus on carrying capacity (K) of an area
Ecological hypotheses: climate
Water important to life
Strong climate species richness correlation (especially broad scale)
more individuals (species-energy) hypothesis
richness varies with climate because
Number of individuals that an area can support increases with primary productivity (available energy)
greatest in tropics (warm/humid)
Greater species richness in areas that can support more individuals
more individuals divided among more species
Individuals within a group increases with primary productivity
Number of species increases with number of individuals
Insufficient to account for species accumulation with decreased latitudes
Expect more species in smaller populations in warmer climates
why are there more species in the tropics than expected
species individual curve varies across climate regions not constant increase in speces
what if species could persist at smaller population sizes
expect more species in smaller population in warmer climates
Historical explanations
Geological history and available time for diversification
tropics more diverse b/c of more time
High latitudes: periodic ice ages and glaciation species richness
Low altitudes: more stable and benign
Historical explanation: geological history and the time for diversification (LDG goes back to Cenozoic)
Time integrated area hypothesis:
combined effects of time and area
requires low dispersal rates between temperature and tropical regions
Two effects
Positive effects of area (more tropics) on speciation rates
Decline in extinction rates with area
tropical niche conservatism
tropical species stay at tropical
latitudinal diversity gradients strengthen + weaken several times over histort
should have been maintained at low latitude

Evolutionary
Higher diversification rates in tropics
Diversification. = specification rate - extinction rate
population growth rate = births - deaths (closed populations)
higher diversifications rates in tropics due to greater speciation and lower extinction
where do more (contemporary) species originate?
rate = sp events/time
adaptive shift to different eco. zone = *
speciation rates at tips of tree
>= in temperate zone relative to tropics
speciation rates integrating recent + past
> speciation
Probability of speciation + extent of division increases closer to equator
More endemic fish near equator
more opportunities for geo isolation (reproductive barriers)
Higher mutations rare & shorter generation in tropics
Stronger species interactions
Endemism
Indicates at least one speciation event at each site
Number of endemics
Estimate of extent of diversification (sp-ex)
Ecosystem functioning
productivity (primary
nutrient cycling & retention
how many species required to move mass of elements
atmosphere - hydrosphere - litho sphere
Disturbance resilience & stability
community recovery after disturbance
Ecosystem multifunctionality
are all species equally effective in functioning
how mant functions by each species
Diversity & productivity
higher species diversity leads to higher ecosystem producticity
three studies:
Cedar creek ecosystem science reserve
BIODEPTH
Jena biodiversity experiment

Cedar creek
plots w/1,2,4,8,16 grassland savannah
productivity nutrient dynamycs, stability for 20 yrs
productivity measured as biomaa
drastic increase in adding few species
becomes asymptotic w/more
lower productivity in 1997
criticism/limitation
only 1 single location
same species in all plots

BIODEPTH (Biodiversity + ecological proccesed in terrestrial herbaceous ecosystems
similar design to cedar creek
replicated in 7 countries

jena biodiversity experiment
manipulated plant diversity:above/below biomass & nutrient use
unique:richness & functional groups (types of species)
findings of all studies
pos. deceleration relationship
suggests some species can be lost before collapse of productivity

Corinale meta analysis
368 experiments
terrestrial, fresh water, marine
plant types
→ generalize to primary producers
proportional loss: linear relationship
1 change in biodiversity = 1 change in ecosystem function
Rivet redundancy: redundancy of species so if 1 goes extinct, ecosystem doesnt collapse b/c on rebundant species that does the same
multipple species that fill role of multiple functional groups
immediate catastrophe: even a small decrease in biodiversity results in decrease in ecosystem
saturating function (michaelis manten curve)
productivity: 79% (pos. & decelerating)
3 aspects
A. primary productivity
B. Nutrient uptake → how effecient communities are utilizing resources
C.Decomposition → Nutrient cycling, returning nutrient back to soil
Caution in a strict + literal interpretation
one aspect of diversity (richness)
relative importance of large early vs small later change in richness under field conditions & tipping point
→ study counting all species as equal not realistic
Assumption “saturated model”
function can be extrapolated to estimate max. biomass production as species richness goes to infinity
→ literal interpretention not advised


niche complementarity (resource partitioning)
when species differ in how they use a limiting resource
differ in phenology, physiology, nutrient requirements
species niches differ
increases resource use efficiency
more species (increased species richness)
increased productivity
from “facilitation”: N-ficing & non fixing species
species selection (sampling effects)
increasing productivity if diverse communities are dominated by few highly productive species (uneven communities)

operate in concert
species selection early - niche complementarity later
detected through Transgressive overyeilding- mixed plots yield more biomass (compared to any monoculture) increases w/community maturation
species selection effects may be dominant drivers of ecosystem functioning early in on experiment
niche complementarity effects becomes stronger as communities mature
Niche complemantarity increased over time, while species selection effects decreased over time (cedor)
effects of species richness on ecosystem functioning become stronger over time (jena)
→ temporal strengthening of biodiversity due to combo of increased ecosystem functioning at low biodiversity
if species empty niche complementary (resource partioning)
diverse communities more efficiently use resources
amount of unused resources decline w/more species (richness)

Nitrogen and leaching
reduced available N concentration in soil
increase in plant species richness reduces available N concentration in soil
increase in N in (above ground) biomass w/higher diversity
efficiency of nutrient uptake
correlated positively w/species diversity indicating total N uptake increased w/increasing diversity
less DIN (dissolved inorganic N) leaching
more efficient uptake by plant community
increasing in plant richness reduced leaching loss of DIN as consequence of more efficient nutrient uptake by plant community
DON does not dissolve easily + may not be directly available for plant uptake

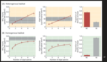
Heterogenous vs homogenous
A: heterogenous (niches) streams
B:homogenous (no niches) stream
= highest rate/biomass of 1 species in monocultue
nitrogen run off into streams + rivers, significant source of pollution
in labs w/high heterogenesity an increased in algal species richness, reduced amount of DON in stream water
more homogenous, loss of opportunities for drift algal species led to reduced algal diversity + reduction in N uptake
pos. effects of algal species richness on water quality due to niche complementarily
Measures to stability
species richness
Species evenness
Productivity
Interactions (abiotic/biotic)
Rate (change) of growth
Amount of habitat suitability
Diversification rate
Time to base state
→ common theme: time
Dynamical systems
Systems that change over time
alternative stable states
Non point attractors
Extinctions
Invasion

Alternative stable states
initial (density) conditions
determines persistence
→ population abundance initial condition determine how they end up
Initial conditions determine outcome
Stability
# of stable states
few = more stable
→ the more alternatives the less stable; vice versa

Non point attractors
no point equilibrium (pre-prey)
perpetual density oscillations
Stability
low vs high chaos
Change in predator over time
increase w/pret abundance, decrease w/lack of prey

Extinction
stability
how many other species go extinct
fewer = more stable
Density of surviving species
little changes = more stable
Little alternatives = more stable

Invasions
Stability
chance of successful invasion
Low = more stable
# of secondary extinction
few = more stable
→ more species go extinct w/succesful invasion more extinction = less stable

Temporal stability
Focus:
consistency of a quality over time
(abundance of species)
Stability:
variance in species abundance, overtime + scaled to mean abundance
Applied to:
Specific species
Entire community
Overall species

Community stability
Diversity (richness) increases St when
Increase Ni
Total sp abundance
Decreasing Var, Ni
Summed var
Decreasing Cov(Ni,No)
summed covariant
Increase (total sp abundance)
increase species richness
you are increasing community productivity
Over yielding increasing temporal stability
What if diversity does not affect total community biomass
species fluctuate randomly/independently cov (Ni,No)=0 + reduces var(N)
Increase richness reduces summed variance - portfolio effect
Correlated responses to environment
any negactive covariance will increase St
Any positive covariance will decrease St
Types of interactions
negative coviarence (Ni,Nj)
interspecific competition
positive effect on stability
Positive covariance (Ni, Nj)
Facilitative mutualism
negative effect on stability
Foundational species
creates/engineers physical structure of ecosystems - form base of community
General abundant/dominant species
Often near the base of food webs
Ecosystem engineers
Not a base
Not a abundant/dominant
Beavers (Dam/lodge flooding)
water quality (filter)
Flood/drought mitigation
Fire management (water & cutlines)
Biodiversity (at least 50% threatened species)
Trees (forest)
habitat
Food
Soil conditions
Coral (coral reef)
shelter
Habitat

Ecosystem function
nutrient cycling
Decomposition rates
Energy flow
Carbon capture
Chemical cue transmission

Dead foundational species: habitat heterogeneity
Keystone structure
unique structure providing resource (insects- consumers, birds habitat) (different from living foundational species effect)
Facilitation cascade
primary species facilitates secondary species facilitates others species, dead tree, secondary epiphytes insects other bird consumers (hierarchical)
Mix of living (foundational effects) and dead, species mix (different effects) time since death