1/15
Looks like no tags are added yet.
Name | Mastery | Learn | Test | Matching | Spaced |
|---|
No study sessions yet.

⠀ ⠀ ⠀
Alkanes

⠀ ⠀ ⠀
Alkenes

⠀ ⠀ ⠀
Alkynes

⠀ ⠀ ⠀
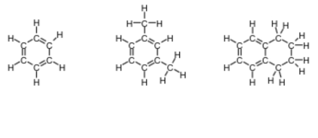
Arenes

⠀ ⠀ ⠀
Alkyl Halides

⠀ ⠀ ⠀
Alchohols

⠀ ⠀ ⠀
Ethers

⠀ ⠀ ⠀
Amines

⠀ ⠀ ⠀
Aldehydes

⠀ ⠀ ⠀
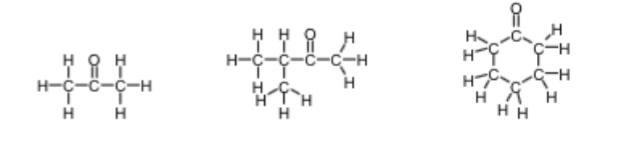
Ketones

⠀ ⠀ ⠀
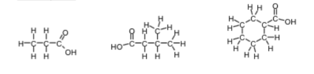
Carboxylic Acids

⠀ ⠀ ⠀
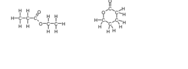
Esters

⠀ ⠀ ⠀
Amides

⠀ ⠀ ⠀
Acid Chlorides

⠀ ⠀ ⠀
Anhydrides

⠀ ⠀ ⠀
Nitriles