1/16
Looks like no tags are added yet.
Name | Mastery | Learn | Test | Matching | Spaced | Call with Kai |
|---|
No analytics yet
Send a link to your students to track their progress
2x+4y+z=12
x+3y-2z=8
5x+y+z=36
5x-2y=4
-2x+y=2
(-2, -6)
a+b+c=6
9a+3b+c=20
4a-2b+c=15
a=2
b=-1
c=5
x-3y+3z=0
5x+y-3z=0
x+y-z=4
x=3
y=9
z=8
2a-7b+3c=24
a+4b-c=-3
4a-b+2c=23
a=4
b=-1
c=3
-4x-5y-z=18
-2x-5y-2z=12
-2x+5y+2z=14
x=-4
y=0
z=22
-x-5y-5z=2
4x-5y+4z=19
x+5y-z=-20
x=-2
y=-3
z=3
2a-3b+7c=26
a+2b-c=3
3a+4b+2c=22
2a+4b+c=5
a-4b=-6
2b+c=7
a=-2
b=1
c=5
2a+b-c=8
b+c=4
a-b=2
a=4
b=2
c=2
y=x2+3x-5
y=4x-5
(0,5)
(1,-1)
y=x2-x+2
y=3x-1
(3,8)
(1,2)
x2+y2=16
x+y=4
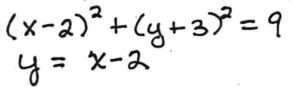
(x-1)2+(y+3)2=25
(1,2)
(6,3)





