1/19
Looks like no tags are added yet.
Name | Mastery | Learn | Test | Matching | Spaced |
|---|
No study sessions yet.
Glycine (GLY, G)

Alanine (Ala, A)

Valine (Val, V)

Leucine (Leu, L)

Isoleucine (Ile, I)

Methionine (Met, M)

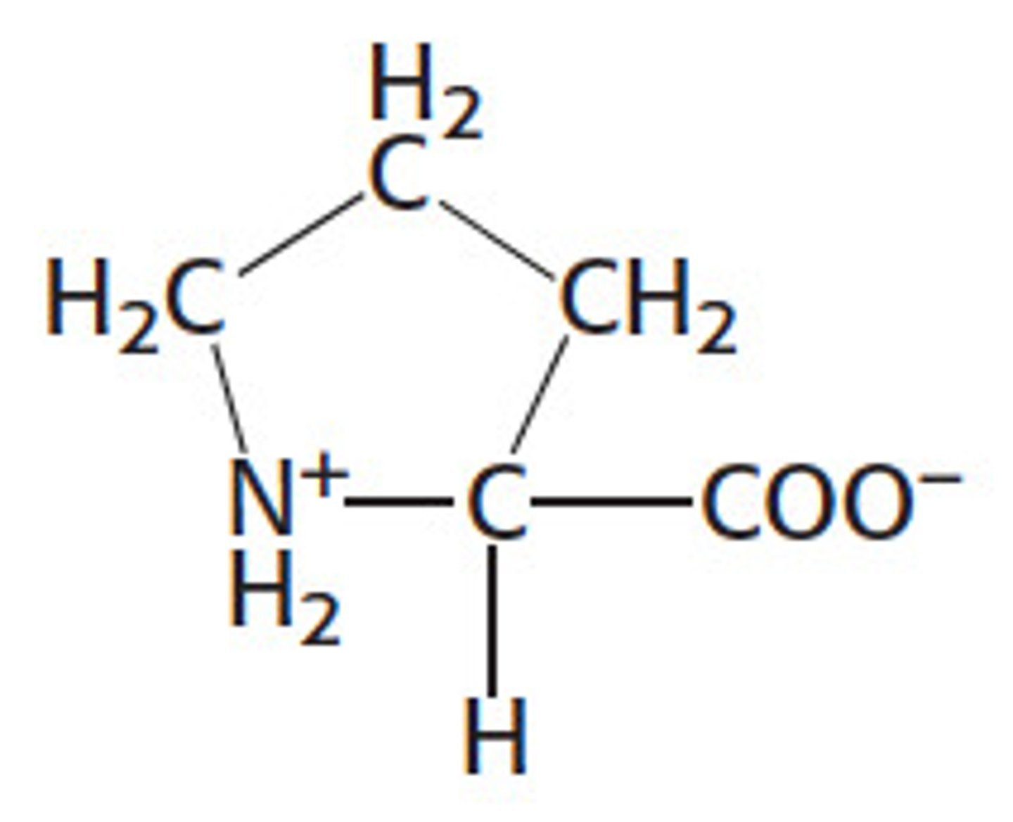
Proline (Pro, P)

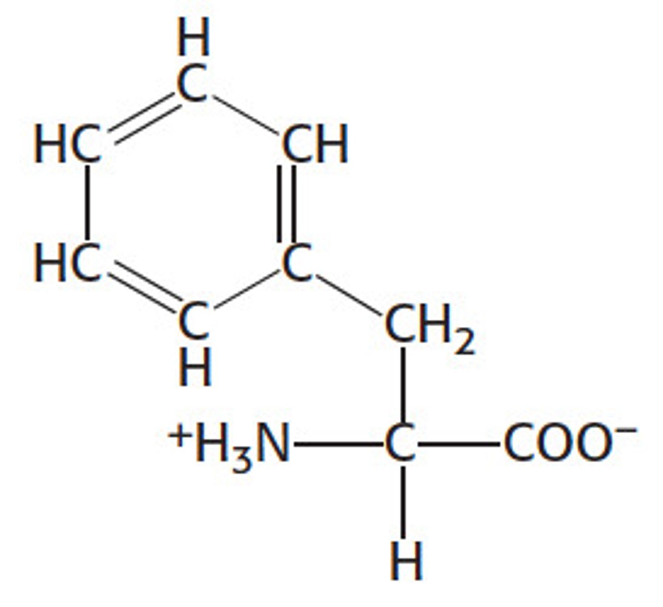
Phenylalanine (Phe, F)

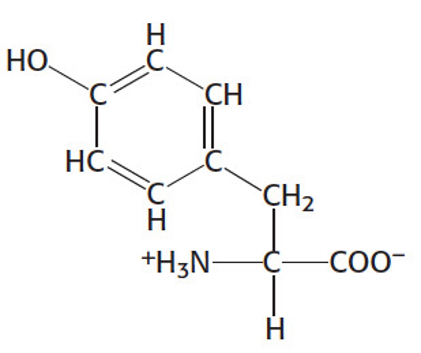
Tyrosine (Tyr, Y)

Tryptophan (Trp, W)

Serine (Ser, S)

Threonine (Thr, T)

Asparagine (Asn, N)

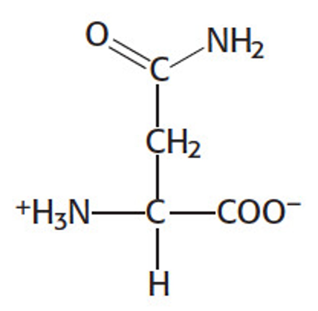
Glutamine (Gln, Q)

Cysteine (Cys, C)

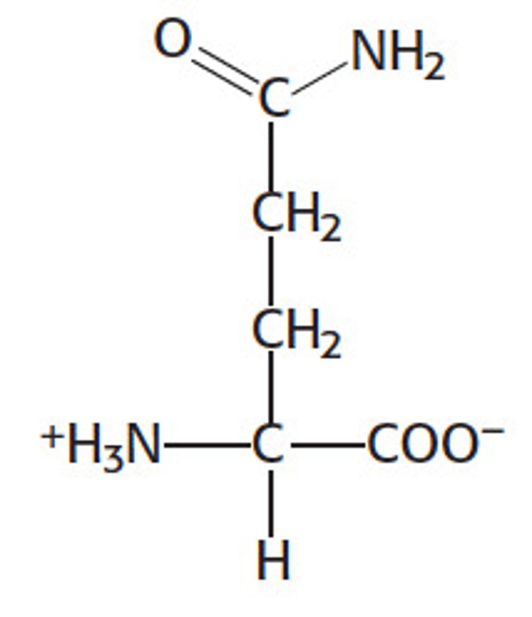
Lysine (Lys, K)

Arginine (Arg, R)

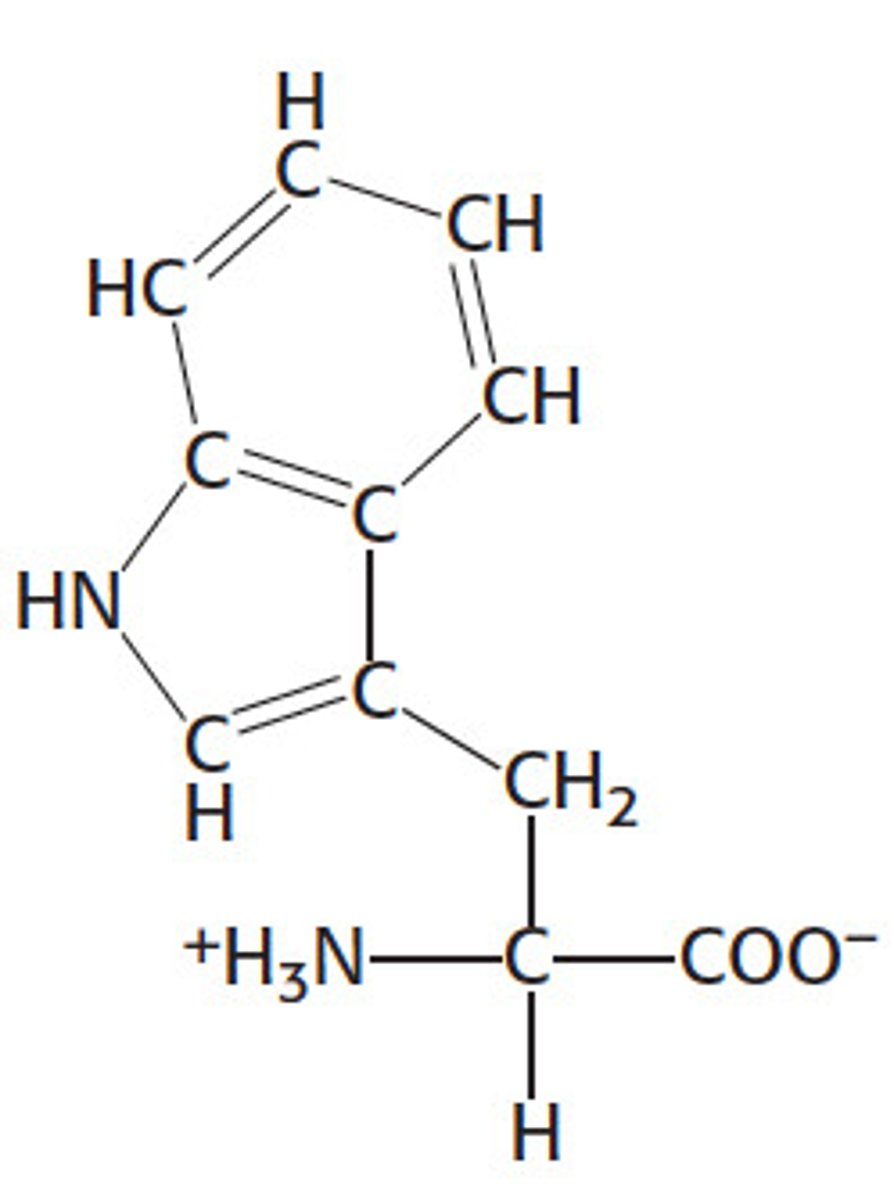
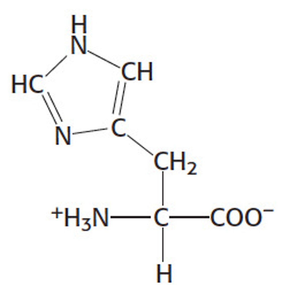
Histidine (His, H)

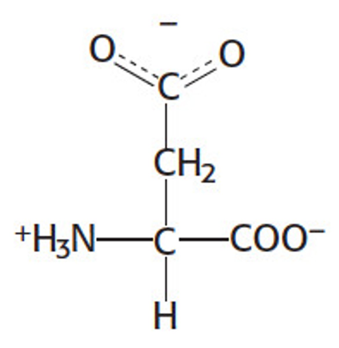
Aspartate (Asp, D)

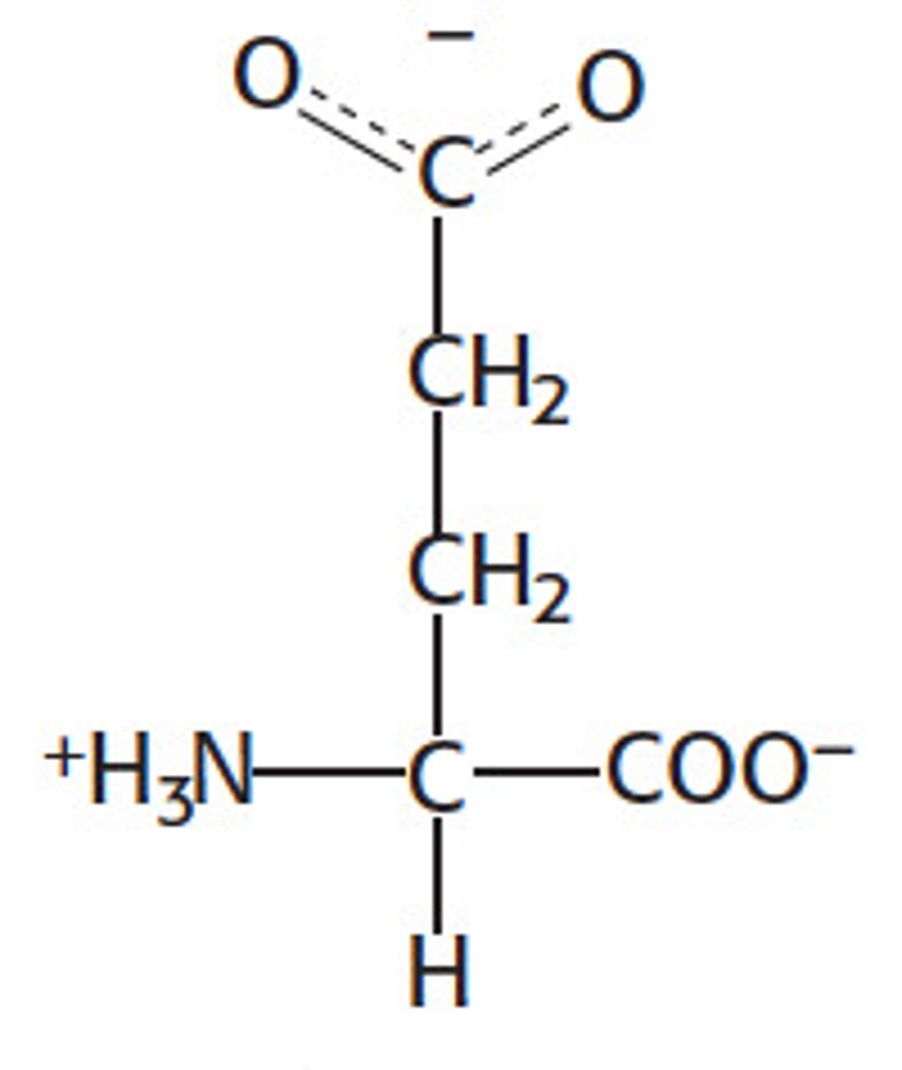
Glutamate (Glu, E)
