lewis structure and lysozymes

0.0(0)
studied byStudied by 0 people
0.0(0)
full-widthCall with Kai
GameKnowt Play
New
learnLearn
examPractice Test
spaced repetitionSpaced Repetition
heart puzzleMatch
flashcardsFlashcards
Card Sorting

1/13

encourage image

There's no tags or description

Looks like no tags are added yet.

Study Analytics
Name
Mastery
Learn
Test
Matching
Spaced

No study sessions yet.

14 Terms

1
New cards

nucleophile

  • supplies electrons

2
New cards

electrophiles

  • accepts electrons

3
New cards

arrow rules

  • curved arrows show the direction of electron movement- pushing electrons

  • the base of the arrow begins at the original location of the pair of electrons

  • the head of the arrow points to the destination of the electrons

4
New cards

when does simultaneous making and breaking of sigma bonds occur

  • when a nucleophile approaches a carbon atom having a leaving group in a direction anti and rearward to the leaving group (substitution nucleophilic reaction) (the nucleophile does not have to attack the carbon)

5
New cards

sigma bond making and pi bond breaking

  • condensation of a molecule and an ion into a single ion

  • 1 curly arrow points from 1 of the lone pairs of electrons on the hydroxyl to the carbon and the other arrow from the C=O bond to the oxygen

  • C changes sp2 to sp3 hybrid state

<ul><li><p>condensation of a molecule and an ion into a single ion</p></li><li><p>1 curly arrow points from 1 of the lone pairs of electrons on the hydroxyl to the carbon and the other arrow from the C=O bond to the oxygen</p></li><li><p>C changes sp<sup>2 </sup>to sp<sup>3</sup> hybrid state</p></li></ul><p></p>
6
New cards

sigma bond breaking and pi bond making

  • one curly arrow points from 1 of the lone pairs of electrons on the oxygen to the C-O bond and the other arrow from the C-OH bond to the oxygen

<ul><li><p>one curly arrow points from 1 of the lone pairs of electrons on the oxygen to the C-O bond and the other arrow from the C-OH bond to the oxygen</p></li></ul><p></p>
7
New cards

lysozyme

  • an enzyme that is involved in the first line of defence against bacterial attacks that cleave peptidoglycan, the polysaccharide complex in the cell walls of gram-positive bacteria

  • the enzyme has little effect on gram negative bacteria

8
New cards

where are lysozymes found in humans

  • in most bodily secretions including tears and nasal mucus

9
New cards

history of lysozymes

  • the term lysozyme was by Fleming in 1922

  • the structure of hen egg-white lysozyme, determined in 1965 by x-ray crystallography, was the first to be determined for any enzyme

10
New cards

lysozyme structure

  • polypeptide chain: 129 amino acids, 4 s-s bridges

  • structure: 2 domains separated by a deep cleft

  • (left domain: a small beta sheet of mainly hydrophilic residues)

  • (right domain: hydrobic core surrounded by short alpha helices)

  • substrate: triNAG

  • the active site cleft binds 6 sugars (ABCDEF)

  • the glycosidic bond between the 4th and 5th sugar (D-E) is the bond broken in the reaction

11
New cards

lysozyme active site

  • lysozyme binds the peptidoglycan carbohydrate polyer so that a NAM ring is at side D and a NAG ring at site E in the binding site on the enzyme surface

  • the D-E glycosidic bond is close to the side chain of Glu35 and Asp52. Both have carboxylic acid side chains

12
New cards

Asp52

  • is in the carboxylate form as expected at pH 6 (optimum pH for lysozyme reaction)

13
New cards

Glu35

  • has an unusual raised pKa because it is in a hydrophobic microenvironment and is in the carboxylic acid form at pH 6

14
New cards

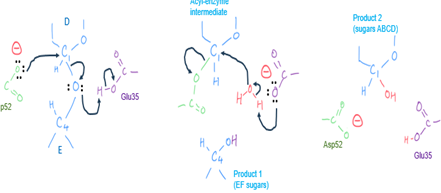
lysozyme mechanism

  • nucleophilic attack by Asp52 forms covalent acyl enzyme intermediate

  • Glu35 donayes a proton and sugars E-F diffuses away (first product)

  • attack by water: OH added to C1 of D and a proton to Glu35

  • sugars A-B-C-D are the 2nd product

<ul><li><p>nucleophilic attack by Asp52 forms covalent acyl enzyme intermediate</p></li><li><p>Glu35 donayes a proton and sugars E-F diffuses away (first product)</p></li><li><p>attack by water: OH added to C1 of D and a proton to Glu35</p></li><li><p>sugars A-B-C-D are the 2nd product</p></li></ul><p></p>

Explore top flashcards