1/294
Formulas & Terms
Name | Mastery | Learn | Test | Matching | Spaced | Call with Kai |
|---|
No analytics yet
Send a link to your students to track their progress
Void Ratio

Porosity

Degree of Saturation

Moisture Content (2 Formulas)

Unit Weight (3 Formulas)

Dry Unit Weight

Saturated Unit Weight

Submerged or Buoyant Unit Weight

Bulk Specific Gravity

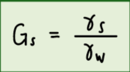
Specific Gravity of Solids

Bulk Specific Gravity (In terms of W_air & W_water)

Soil Compaction

Air Content

Air Void Ratio

Critical Hydraulic Gradient

Relative Density or Density Index

Relative / Percent Compaction

Effective Grain Size

Average Grain Size

Coefficient of Uniformity

Coefficient of Gyration / Curvature

Sorting Coefficient

Suitability Number

Suitability Number Ratings

Caltech for Sieve Analysis

Percent Passing: Caltech

Shrinkage Limit

Initial Moisture Content

Change in Moisture

Shrinkage Ratio

Specific Gravity of Solids (In terms of Shrinkage Ratio and Limit)

Plastic Limit

Liquid Limit: Caltech

Liquidity Index

Liquidity Index: Consistency Rating

Plasticity Index

Plasticity Index: PI Description

Consistency Index

Consistency Index: Consistency Rating

Activity Classification

Activity Classification: Class Rating

Sand Cone Method

Hydrometer Analysis: Stoke’s Law

Pycnometer Test

Toughness Index

Flow Index

Volumetric Shrinkage

Linear Shrinkage

Shrinkage Index

Fall Cone Method

USDA: Soil Modification w/ Gravel

USDA: Special Notes

AASHTO: Group Index

AASHTO: Special Notes

USCS for Coarse-Grained Soils

Discharge

Discharge Velocity

Seepage Velocity & Interstitial Velocity

Seepage Force

Transmissivity

Hydraulic Gradient

Coefficient of Permeability or Hydraulic Conductivity: Constant Head Test

Coefficient of Permeability or Hydraulic Conductivity: Falling/Variable Head Test

Aquifer: Pumping Test (Unconfined)

Aquifer: Pumping Test (Confined)

Equivalent Coefficient of Permeability: Parallel Flow

Equivalent Coefficient of Permeability: Perpendicular Flow

Vertical Stress: Total Stress

Vertical Stress: Pore Water Pressure or Neutral Stress

Vertical Stress: Effective Stress

Height of Capillary Rise

Capillary Zone

Height of Capillary Rise: Peak and Hanzen

Effective Stress (Other Terms)

Primary Settlement: Normally Consolidated

Primary Settlement: Over Consolidated (Po + ΔP < Pc)

Primary Settlement: Over Consolidated (Po + ΔP > Pc)

Swell Index

Compression Index

Overconsolidation Ratio

Coefficient of Compressibility

Coefficient of Volume Compressibility

Coefficient of Consolidation

Hydraulic Conductivity (In Terms of Compressibility)

Soil Stress/Pressure Distribution

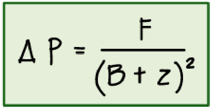
Soil Stress/Pressure Distribution: Square

Soil Stress/Pressure Distribution: Rectangular

Soil Stress/Pressure Distribution: Circular

Flow Net / Seepage: Isotropic Soil

Flow Net / Seepage: Non-Isotropic Soil

Unit Drop

Note for Tri-axial Test

Angle of Failure: Tri-Axial Test

Active Soil Pressure (β = 0)

Active Soil Pressure

Passive Soil Pressure (β = 0)

Passive Soil Pressure

Rest Earth Pressure

Cohesion Formula for Soil Pressure Analysis

Surcharge Formula for Soil Pressure Analysis
