1/21
Looks like no tags are added yet.
Name | Mastery | Learn | Test | Matching | Spaced | Call with Kai |
|---|
No analytics yet
Send a link to your students to track their progress
Define radian
The angle subtended by a circular arc with a length equal to the radius of a circle
How to convert from degrees to radians?

How to convert from radians to degrees?

What is the formula that relates frequency and time period?
ƒ = 1/T
Freq = 1/Time period.
Define period
time taken (in seconds) for an object to travel in a full revolution
Define frequency
(Measured in Hertz/Hz, revolutions per second) No.of full revolutions completed in one second.
What does angular velocity measure and in what units?
the ω of an objects moving in a circle describes the rate of change of angle.
rads-1 (radians per second)
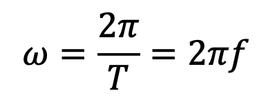
equations for angular velocity (ω)

How to convert between radians a second and revolutions a second?

Equation for linear/tangential velocity

Time taken to complete x rotations if you know freq y
x times 1/freq (or time period)
Define Centripetal force
Centripetal force is the net force which acts perpendicular to the direction of the velocity, towards the centre of the circle.
what is centripetal acceleration measured in
ms-2
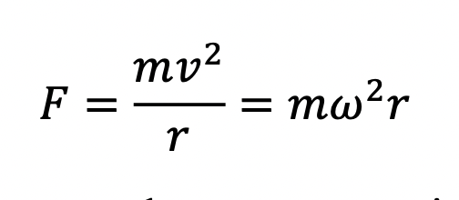
equations for centripetal force

Why does the speed of an object in circular motion not change?
The net force is directed perpendicular to the direction of motion (the velocity);
This means that there is no work done by this force and hence no change in speed.
a graph of force against velocity squared should be..
A straight line though the origin

Name equipment needed when investigating circular motion


Why does a banked surface let objects travelling in circular motion go faster?

Horizontal component of normal contact force contributes to centripetal force (that is needed to maintain motion) at high speeds when friction alone doesn’t provide enough force. Vertical component balances weight.

This is a conical pendulum. The horizontal component of the tension provides centripetal force. Find equation for velocity.


What forces act on point A?


What forces act on point B?


What forces act on point C and D?
