1/26
Looks like no tags are added yet.
Name | Mastery | Learn | Test | Matching | Spaced |
|---|
No study sessions yet.
sinx
cosx
cosx
-sinx
tanx
sec²x
cscx
-cscxcotx
secx
secxtanx
cotx
-csc²x
arcsinx

arcosx

arctanx

what is cscx
1/sinx
what is secx
1/cosx
what is cotx
1/tanx
e^x
e^x
a^x
a^xloga
logx
1/x


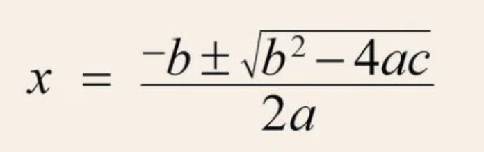
quadratic formula

Volume of rectangle
LxWxH
Circle: circumference and Area
C=2pir
A=pir²
Sphere: Volume and SA
V: (4/3)pir³
SA: 4pir²
Circular Cone: V

Circular Cylinder: V and SA
V=pir²h
SA= 2pir²+2pirh
tangent line equation
y-y1=m(x-x1)
definition of derivative

what is sinx
y
what is cosx
x
what is tanx
sin/cos