Protease Kinase

0.0(0)
studied byStudied by 0 people
0.0(0)
full-widthCall with Kai
GameKnowt Play
New
learnLearn
examPractice Test
spaced repetitionSpaced Repetition
heart puzzleMatch
flashcardsFlashcards
Card Sorting

1/43

encourage image

There's no tags or description

Looks like no tags are added yet.

Study Analytics
Name
Mastery
Learn
Test
Matching
Spaced

No study sessions yet.

44 Terms

1
New cards

What are kinases + proteases and what are they important in?

  • kinases: enzymes that add phosphate groups

  • proteases: enzymes that cut proteins

  • important intracellular signalling, which controls how cells respond to signals

2
New cards

What are the steps of TGF-beta signalling pathway?

  1. TGF-beta ligand (red) binds to type II receptor

  2. type II receptor activates type I receptor using phosphorylation (adding a phosphate group)

  3. type I receptor then phosphorylates R-Smad (signal-carrying protein)

  4. phosphorylated R-Smad joins with Smad4

  5. this complex moves into nucleus + binds to DNA-binding partners (ex. Fast-1) to turn on specific genes

<ol><li><p>TGF-beta ligand (red) binds to type II receptor</p></li><li><p>type II receptor activates type I receptor using phosphorylation (adding a phosphate group)</p></li><li><p>type I receptor then phosphorylates R-Smad (signal-carrying protein)</p></li><li><p>phosphorylated R-Smad joins with Smad4</p></li><li><p>this complex moves into nucleus + binds to DNA-binding partners (ex. Fast-1) to turn on specific genes</p></li></ol><p></p>
3
New cards

What does a frame-shift mutation do to a TGF-beta signalling pathway?

Inactivates TGF-beta signalling pathway, leading to cancer since TGF-beta usually helps regulate cell growth + prevent uncontrolled division.

4
New cards

What are the steps of FasL signalling pathway (important for programmed cell death: apoptosis)?

  1. T lymphocyte (immune cell) produces FasL

  2. FasL binds to Fas receptor on a target cell

  3. this recruits FADD, which activates Casp8

  4. Casp8 triggers 2 pathways:

    1. direct activation of Casp3 DNA fragmentation

    2. activation of Bid releases cytC from mitochondria

  5. cytC binds to Apaf-1, which activates Casp9

  6. Casp9 further activates Casp3

  7. Casp3 breaks down ICAD frees CAD

  8. CAD cuts up DNA cell death

<ol><li><p>T lymphocyte (immune cell) produces FasL </p></li><li><p>FasL binds to Fas receptor on a target cell</p></li><li><p>this recruits FADD, which activates Casp8</p></li><li><p>Casp8 triggers 2 pathways:</p><ol><li><p>direct activation of Casp3 <span data-name="arrow_right" data-type="emoji">➡</span> DNA fragmentation</p></li><li><p>activation of Bid <span data-name="arrow_right" data-type="emoji">➡</span> releases cytC from mitochondria</p></li></ol></li><li><p>cytC binds to Apaf-1, which activates Casp9</p></li><li><p>Casp9 further activates Casp3</p></li><li><p>Casp3 breaks down ICAD <span data-name="arrow_right" data-type="emoji">➡</span> frees CAD</p></li><li><p>CAD cuts up DNA <span data-name="arrow_right" data-type="emoji">➡</span> cell death</p></li></ol><p></p>
5
New cards

What are the steps of proteases?

knowt flashcard image
6
New cards

What are thermolysin inhibitors + their shapes?

Mimics tetrahedral state of protease with phosophate/phosphoramidate

<p>Mimics tetrahedral state of protease with phosophate/phosphoramidate</p>
7
New cards

What is pepstatin, its structure, the 2 parts where it’s statine amino acids + 2 parts where carbinols are?

Naturally occurring inhibitor that mimics tetrahedral state of protease with carbinols.

<p>Naturally occurring inhibitor that mimics tetrahedral state of protease with carbinols.</p>
8
New cards

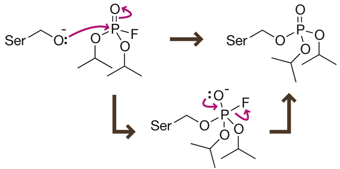
What’s the mechanism for irreversible inhibition where fluorophosphates inhibits serine protease?

knowt flashcard image
9
New cards

What are the 3 nerve agents that inhibits acetylcholine esterase (important nerve signalling molecule)?

knowt flashcard image
10
New cards

What’s miraziridine A’s structure + how is it a multifunctional (combination) inhibitors?

Simultaneously inhibits 2 or more biological targets.

<p>Simultaneously inhibits 2 or more biological targets.</p>
11
New cards

What are the electrophiles for multifunctional (combination) inhibitors?

alpha, beta unsaturated acid (Michael addition) Aziridine

12
New cards

What type of protease inhibited by such electrophiles?

Mainly cysteine.

13
New cards

What’s the difference between protein kinase + phosphatase?

knowt flashcard image
14
New cards

What’s the mechanism for phosphoryl transfer?

knowt flashcard image
15
New cards

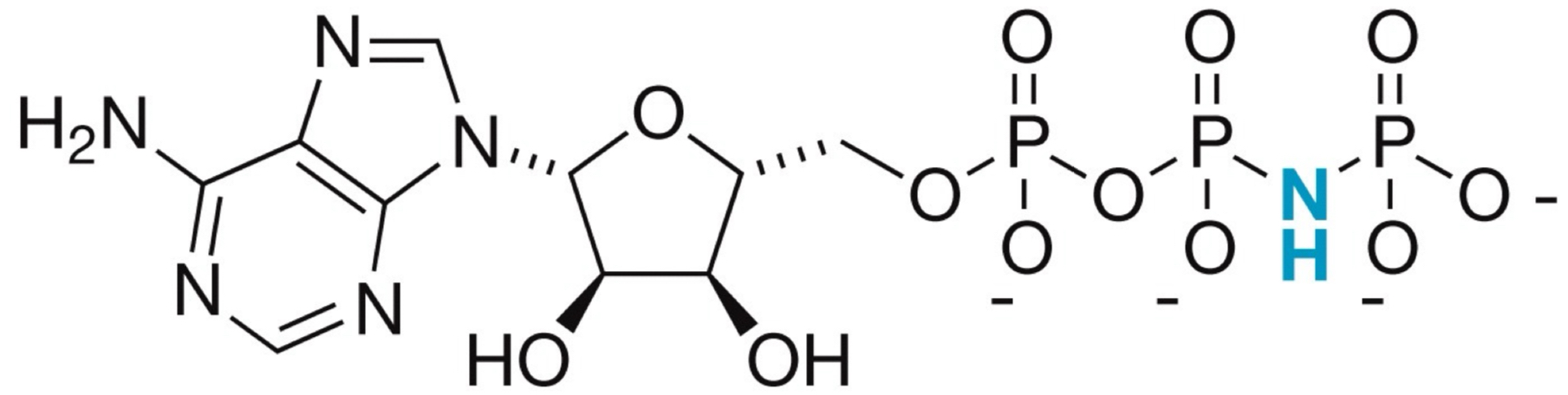
What are the 3 main parts of an ATP molecule?

  1. adenine (nitrogenous base)

  2. ribose (sugar)

  3. triphosphate (3 phosphate groups that store energy)

16
New cards

Why do kinases need ATP?

Uses ATP as phosphate donor to phosphorylate proteins, which activates or deactivates signalling pathways.

17
New cards

What is the kinase active site?

Region where ATP binds for phosphorylation, including glycine-rich loop (stabilizes ATP binding) + DFG loop (involved in activation).

18
New cards

What is balanol + its structural features?

  • natural fungal metabolite that acts as ATP inhibitor by blocking kinase active site

    • structurally resembles ATP but doesn’t allow phosphorylation stops signalling pathways

  • structural features: benzophenone, hydroxybenzamide + perhydroazepane groups

19
New cards

Why do kinases need to be switchable?

  • switchable: be able to turn on + off in response to cellular signals

    • crucial for precise control, preventing overactivation, dynamic signaling

<ul><li><p>switchable: be able to turn on + off in response to cellular signals</p><ul><li><p>crucial for precise control, preventing overactivation, dynamic signaling</p></li></ul></li></ul><p></p>
20
New cards

What is cAMP an example of?

How small molecules can activate a kinase by acting as allosteric regulators (bind to site on kinase that changes its shape + function).

<p>How small molecules can activate a kinase by acting as allosteric regulators (bind to site on kinase that changes its shape + function).</p>
21
New cards

What activates protein kinase C (PKC)?

  1. calcium ions

  2. diacylglycerol (DAG)

22
New cards

How does PKC activation work?

  1. PIP2 is broken down into IP3 + DAG

  2. IP3 releases Ca2+ from storage

  3. DAG stays in membrane + helps activate PKC

  4. PKC moves to membrane, binds DAG & Ca2+ + phosphorylates proteins

<ol><li><p>PIP<sub>2</sub> is broken down into IP<sub>3</sub> + DAG</p></li><li><p>IP<sub>3</sub> releases Ca<sup>2+</sup> from storage</p></li><li><p>DAG stays in membrane + helps activate PKC</p></li><li><p>PKC moves to membrane, binds DAG &amp; Ca<sup>2+</sup> + phosphorylates proteins</p></li></ol><p></p>
23
New cards

What is the structure of the ATP analog that’s used to crystallize kinase?

knowt flashcard image
24
New cards

What’s the structure of the designed covalent inhibitor?

knowt flashcard image
25
New cards

What are 3 ways scientists study kinases?

  1. ATP analog binding: uses special ATP that has a biotin tag to see how kinases work

  2. fluorescence tracking: designed peptide or protein substrate that contains special fluorescent tag

    1. when kinase acts on substrate, fluorescence helps track kinase activity

  3. covalent inhibitors: permanently binds to kinase’s active site to prevent it from working

26
New cards

What’s the structure of BHAcATP, BHAcADP + its R group?

knowt flashcard image
27
New cards

What’s the mechanism of a protein binding to a kinase probe?

knowt flashcard image
28
New cards

What did Peyton Rous demonstrate about cancer (sarcoma)?

knowt flashcard image
29
New cards

How did Rous sarcoma virus (RSV) evolve from Avian Leukosis virus (ALV)?

RSV evolved when ALV accidentally incorporated the adjacent c-src gene from a chicken, modifying it into v-src.

30
New cards

Why does a virus carry a chicken gene?

RSV evolved from ALV through accidental incorporation of the adjacent c-src gene in an ancient chicken.

31
New cards

What’s the difference between c-src + v-src?

  • c-src: normal chicken gene

  • v-src: mutated version carried by rsv that promotes uncontrolled cell growth

  • key difference: deletion of C-terminal tail

    • means that v-src is “always on” since it lost ability to be regulated by phosphorylation on C-terminal tyrosine

<ul><li><p>c-src: normal chicken gene</p></li><li><p>v-src: mutated version carried by rsv that promotes uncontrolled cell growth</p></li><li><p>key difference: deletion of C-terminal tail</p><ul><li><p>means that v-src is “always on” since it lost ability to be regulated by phosphorylation on C-terminal tyrosine</p></li></ul></li></ul><p></p>
32
New cards

What does it mean when Src is THE archetypical kinase?

Domains of all kinases are named after Src.

33
New cards

Why is Src considered an oncogene?

It regulates multiple cellular processes, and when overactive, it can lead to uncontrolled cell growth.

34
New cards

Why can’t scientists pinpoint a single reason why Src causes cancer?

Src affects many different pathways in the cell, making it difficult to identify one specific mechanism responsible for its oncogenic effects.

35
New cards

What 3 receptors can activate Src?

  1. receptor tyrosine kinases

  2. G-protein-coupled receptors

  3. integrins

<ol><li><p>receptor tyrosine kinases</p></li><li><p>G-protein-coupled receptors</p></li><li><p>integrins</p></li></ol><p></p>
36
New cards

What cellular processes does Src regulate?

  • motility (cell movement)

  • proliferation + survival growth (growth + avoiding cell death)

  • cell-cell adhesion

37
New cards

What are some major pathways activated by Src?

  • OU3J → Akt → mTOR (controls survival, metabolism, + growth)

  • Ras → Raf → MEK → MAPK (controls cell division)

  • Stat3 (controls gene expression)

  • Ets/TCF, Fos, Myc, Cyclin D1 (regulate cell growth)

38
New cards

There are many kinases in the cell, all catalyzing the same reaction, so how can we determine the substrates of just one of them?

  • “bump and hole” approach

    • bump (enzyme mutation): enlarging an amino acid in active site to block normal binding

    • hole (substrate modification): modifying the substrate to fit only the mutated enzyme

39
New cards

What modifications was made to v-Src to allow it use a special ATP analog?

Mutations at I338 (gatekeeper residue) and V323 allow v-Src to bind N⁶-cyclopentyl ATP instead of regular ATP.

<p>Mutations at I338 (gatekeeper residue) and V323 allow v-Src to bind N⁶-cyclopentyl ATP instead of regular ATP.</p>
40
New cards

Why is it useful to engineer v-Src to use a synthetic ATP analog?

It allows scientists to study v-Src activity without interference from normal ATP, making it easier to track phosphorylation events.

41
New cards

What does a low Km value indicate in enzyme kinetics?

It means the enzyme has a high affinity for its substrate (binds strongly).

42
New cards

What is the significance of kcat​/Km​ in enzyme kinetics?

It represents catalytic efficiency—a high value means the enzyme is very effective at converting substrate into product.

43
New cards

How do researchers identify v-Src substrates using mass spectrometry?

They use an engineered v-Src that incorporates radioactive 32P from the ATP analog, then detect phosphorylated proteins using MALDI mass spectrometry.

44
New cards

What are some v-Src target proteins identified through MALDI mass spectrometry?

Calumenin, cofilin, tubulin: proteins involved in cell structure and signalling.