1/12
Looks like no tags are added yet.
Name | Mastery | Learn | Test | Matching | Spaced | Call with Kai |
|---|
No analytics yet
Send a link to your students to track their progress
What does cournout help with
helps economists understand how the number of firms in the market effect: prices, output, profits and efficiency
Strategic interdependence:
Under oligpol. Each firm must think strategically. “If I produce more, price drops. But if my rival produces more, my profit also drops. So, what should I do?”. We can apply game theory and Nash equilibrium to study these interactions. The solution concepts is the Nash equilibrium, where each firm’s choice is optimal given the choice of its rivals
Duopoly
This is market structure where n = 2, with two identical firms, A and B. Each firm chooses output x^A and x^B, while considering the rival’s decision.
Best responce under Cournot duopoly
Each firm chooses how much to produce, based on what it thinks the other firm will do. This led to the best response function for each firm.
If firm B produces more → firm A should produce less, because total output increases→ price falls →profit falls and vice versa if firm B produces less
Why is it said that cournot duopoly behaves like a Prisoner’s Dilemma
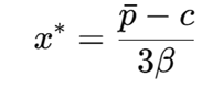
Cournot Nash equilibrium: Each firm chooses its best output given the other firm’s output. No firm can do better by changing output alone. This given Cournot output:

If the two firms cooperated like one big monopolist, they would jointly produce less to keep price high

But this is not stable because: Each firm has an incentive to “cheat”, which lead both to end up worse. Cournot Nash is what they choose on their own, but they’d be better off acting like one big monopolist.
What happens to market price when n→ ∞?
P* → c
indicating perfect competiton, where firms earns zero economis profit
Cournot competition bridges the gap between(n=1) and perfect competition) (n→ ∞)

When n =1: it’s a monopoly → high price, low output
When n→ ∞it’s perfect competition→ price= mc, max total output
Cournot shows what happens in between
Explain

Blue line(profit): falls as more firms enter the market. With many firms → price drops → profit per firm approaches zero.
Red line(consumer surplus): increases when more firms enter.More competition → lower prices → consumers gain more.
Green line(total welfare): Total welfare = Consumer Surplus + Producer Profit. Increases as more firms enter. Society becomes better off because consumer gains outweigh falling profits.
Summary: More firms → lower price → higher consumer surplus → higher total welfare.
Profit per firm falls, but society overall becomes better off.
What is the long-run entry equlibrium
Firms enter as long as profits exceed fixed costs.Entry stops when profit = fixed cost. Thus, number of firms nis endogenously determined by the size of fixed costs.
In theory: more firms → more competition → lower prices → better welfare. In reality: fixed costs create a cap on how many firms can enter. So, market structure balances competition and cost recovery.
Cournot duopol
Two firms compete by choosing quantity simultansoly and independently. Each firm decided how much to produce, taking inot account how much the other might produce
What differs cournot - nash equilbirum from rest-response eqiilbrium
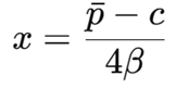
Best response equilibirum = a firm’s best quantity for any quantity the other might choose. This is not yet equlibrium,only the reaction rule
Cournot-nash equilibrium - the point where both firms’ best responses match each other. So you solve the two best-response equations together. This gives the final equilibrium quantities when:
xa =xb = x*
What does the cournot nash- equilibrium tell us
The equilibrium quantities tell us how much each firm actually produces in the Cournot market when neither firm wants to change its output. They show the final, stable production levels chosen by each firm when each is doing the best it can given the other firm’s choice
If they are not identical we just solve them by subtitution


Cournot nash with identifical firms
If firms have:
the same cost function,
the same best-response function,
the same demand,
then the Cournot–Nash equilibrium is symmetric:qA∗=qB∗
So instead of solving two equations, you can set them equal.
