Su: Anti-HIV Protease Inhibitors

0.0(0)
studied byStudied by 0 people
0.0(0)
full-widthCall with Kai
GameKnowt Play
New
learnLearn
examPractice Test
spaced repetitionSpaced Repetition
heart puzzleMatch
flashcardsFlashcards
Card Sorting

1/87

flashcard set

Earn XP

Description and Tags

Lecture 1

Study Analytics
Name
Mastery
Learn
Test
Matching
Spaced

No study sessions yet.

88 Terms

1
New cards

name the HIV protease inhibitors

Saquinavir, Ritonavir, Indinavir, Fosamprenavir, Lopinavir, Nelfinavir, Tipranavir

2
New cards

what is the suffix for HIV protease inhibitors?

-navir

3
New cards

HIV protease is responsible for ____of core proteins into structural proteins

post-translational modification

4
New cards

HIV protease cleaves the viral ____ and ____ polyproteins into smaller functional proteins

Gag and Gag-Pol

5
New cards

what does the HIV gag gene code for

virus and the coat proteins

6
New cards

what does the HIV gag-pol genome code for

Codes for reverse transcriptase and other enzymes

7
New cards

If you inhibit the protein HIV protease it cannot _____ responsible for making the viral particle that spreads.

cleave the proteins

8
New cards

HIV protease is produced by the ____ gene

pol

9
New cards

what are the two options for blocking HIV protease or the Pol gene that makes it?

Terminator 1 - Target the gene before HIV protease protein is made.

Terminator -2 Terminate the HIV protease which helps to make the virus particle.

10
New cards

HIV protease is a _____ enzyme

symmetric dimer

11
New cards

what class does HIV protease belong to

aspartic protease

12
New cards

the drugs that inhibit HIV protease should not inhibit…

mammalian aspartic proteases

13
New cards

which CYP is the most important for metabolism of xenobiotics in the body

CYP3A4

14
New cards

where can you find the most CYP3A4 in the body

livah (liver)

15
New cards

most protease inhibitors act as substrates for _____

CYP3A4

16
New cards

the use of other drugs that are metabolized by CYP3A4 may be ____ if used with HIV protease inhibitors

contraindicated

17
New cards

the active site of HIV protease contains which amino acid sequence?

Asp-Thr-Gly

18
New cards

HIV protease cuts the ___ bond of proteins

amide

19
New cards

what specific amino acid sequence does the HIV protease cut at?

Ser(Thr)-X-X-Tyr(Phe)-Pro

20
New cards

Binding at the enzyme active site is specific, depends on ____

amino acids in the active site.

21
New cards

HIV protease undergoes mutation which leads to

alteration in active site residues and resistance is developed

22
New cards

mutation of ____ in the active site of HIV protease leads to decreased activity of the inhibitors

one or two amino acids

23
New cards

Mutation of one or two amino acids in the active site leads to ____

decreased activity of the inhibitors

24
New cards

mutation of ____ amino acids in the HIV protease leads to resistance to the inhibitors

5 or more

25
New cards

mutation of 5+ amino acids in the HIV protease leads to….

resistance to the inhibitors

26
New cards

where can mutations occur in HIV1 protease (generic answer)

Leu, Val, Ile, Ala, Met, Phe, Thr

27
New cards

brand names of saquinavir

fortovase and invirase

28
New cards

saquinavir is used for…

advanced HIV infection

29
New cards

saquinavir can be used in pts who did not receive ___ or who had prolonged treatment with ___.

ZDV (for both)

30
New cards

combo therapy of saquinavir with ___ seems to have better effects than ____ alone

ZDV or ddC (for both blanks)

31
New cards

bioavailability of saquinavir

4%

hella water insoluble

32
New cards

metabolization of saquinavir

glucuronidation in the liver (small amount tho)

33
New cards
<p>what drug is this</p>

what drug is this

saquinavir

34
New cards
<p>where are the amide bonds on saquinavir</p>

where are the amide bonds on saquinavir

knowt flashcard image
35
New cards
<p>what drug is this </p>

what drug is this

ritonavir

36
New cards

brand name of ritonavir

norvir

37
New cards

what does ritonavir inhibit

both HIV1 and HIV2 proteases

38
New cards

ritonavir can be used alone or in combo with ____ to increase CD4 counts

3TC, ZDV, Saquinavir or ddC

39
New cards

ritonavir can be used alone or in combo with 3TC, ZDV, Saquinavir or ddC to…

increase CD4 counts

40
New cards

how many metabolites of ritonavir are there?

5

41
New cards

where are most of ritonavirs metabolites found?

urine and feces

42
New cards

which CYP metabolizes ritonavir

CYP3A4

43
New cards

ritonavir cannot be used with which drugs due to contraindication

clarithromycin, desipramine, ethinyl estradiol, rifabutin, and sulfamethoxazole-trimethoprim (aka bactrim)

44
New cards
<p>where are the amide bonds on ritonavir?</p>

where are the amide bonds on ritonavir?

knowt flashcard image
45
New cards

how many amide bonds does ritonavir have

3

46
New cards

how many thiazole rings does ritonavir have?

2

47
New cards
<p>where are the thiazole rings on ritonavir</p>

where are the thiazole rings on ritonavir

knowt flashcard image
48
New cards

all metabolites of ritonavir are more _____

water soluble

49
New cards

brand name of indinavir

crixivan

50
New cards
<p>what drug is this</p>

what drug is this

indinavir

51
New cards

indinavir can be given in combo with ____

ZDV and ddl

52
New cards

resistant to ____ is possible in some strains of HIV

indinavir

53
New cards

indinavir is not an inhibitor of ____

reverse transcriptase (duh its a protease inhibitor)

54
New cards

why can indinavir be taken with other nucleoside drugs

bc its not a reverse transcriptase inhibitor

55
New cards

what is the dosing interval used for indinavir

q8h

56
New cards

indinavir is metabolized via which reactions

oxidation and glucuronide conjugation

57
New cards

how many metabolites of indinavir are there

7

58
New cards

why does indinavir have hella drug interactions

bc it inhibits CYP3A4, CYP3A5, CYP3A7

59
New cards
<p>where is the amide bond on indinavir</p>

where is the amide bond on indinavir

knowt flashcard image
60
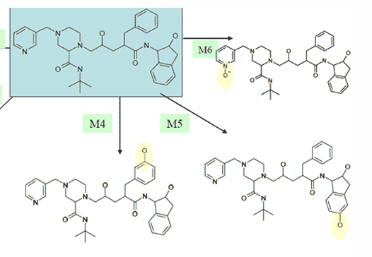
New cards

explain the metabolism of indinavir to M1

oxidative N -dealkylation (removal of the indene group)

<p>oxidative N -dealkylation (removal of the indene group)</p>
61
New cards

explain the metabolism of indinavir to M2

oxidative N-dealkylation (removal of the purine)

<p>oxidative N-dealkylation (removal of the purine)</p>
62
New cards

explain the metabolism of indinavir to M3

hydroxylation of the fused benzenes after M2 ahs been formed

<p>hydroxylation of the fused benzenes after M2 ahs been formed</p>
63
New cards

explain the metabolism of indinavir to M4

para hydroxylation of mono-substituted benzene compounds

<p>para hydroxylation of mono-substituted benzene compounds</p>
64
New cards

explain the metabolism of indinavir to M5

hydroxylation of fused benzenes

<p>hydroxylation of fused benzenes</p>
65
New cards

explain the metabolism of indinavir to M6

N-oxidation of aromatic nitrogen

<p>N-oxidation of aromatic nitrogen</p>
66
New cards
<p>what drug is this?</p>

what drug is this?

amprenavir

67
New cards

what is the brand name of amprenavir

agenerase

68
New cards
<p>where is the amide bond on amprenavir</p>

where is the amide bond on amprenavir

knowt flashcard image
69
New cards
<p>what drug is this</p>

what drug is this

fosamprenavir

70
New cards

what is the brand name of fosamprenavir calcium?

lexiva

71
New cards

fosamprenavir is a ___ of the protease inhibitor and antiretroviral drug amprenavir

pro-drug

72
New cards
<p>where are the amide bonds on fosamprevnavir</p>

where are the amide bonds on fosamprevnavir

knowt flashcard image
73
New cards
<p>what drug is this</p>

what drug is this

nelfinavir

74
New cards
<p>where are the amide bonds on nelfinavir</p>

where are the amide bonds on nelfinavir

knowt flashcard image
75
New cards

what is the brand name of nelfinavir

viracept

76
New cards
<p>what drug is this</p>

what drug is this

lopinavir

77
New cards

brand name of lopinavir

kaletra

78
New cards
<p>where are the amide bonds on lopinavir</p>

where are the amide bonds on lopinavir

knowt flashcard image
79
New cards

kaletra (lopinavir) is a co-formulation that contains ____

ritonavir

80
New cards
<p>what drug is this</p>

what drug is this

atazanavir

81
New cards
<p>where are the amide bonds on atazanavir</p>

where are the amide bonds on atazanavir

knowt flashcard image
82
New cards
<p>what drug is this</p>

what drug is this

darunavir

83
New cards
<p>where are the amide bonds on darunavir</p>

where are the amide bonds on darunavir

<p></p>
84
New cards

tipranavir is also called

tipranavir disodium

85
New cards

tipranavir is a ______ protease inhibitor

non-peptidic

86
New cards

tipranavir inhibits the replication of viruses that are _____

resistant to other protease inhibitors

87
New cards

who is recommended to get tipranavir

pts who are resistant to other strands

88
New cards

resistance to tipranavir requires ____ mutations

hella