Type 1 Type 2 errors and power

5.0(1)
studied byStudied by 5 people
full-widthCall with Kai
GameKnowt Play
learnLearn
examPractice Test
spaced repetitionSpaced Repetition
heart puzzleMatch
flashcardsFlashcards
Card Sorting

1/32

encourage image

There's no tags or description

Looks like no tags are added yet.

Study Analytics
Name
Mastery
Learn
Test
Matching
Spaced

No study sessions yet.

33 Terms

1
New cards

P-value

The probability assuming Ho is true that the test stat will take on a value as extreme or more extreme than what we observed

2
New cards

Power

The probability that a fixed a level test will reject Ho when a particular alternative value of the parameter is true.

3
New cards

Steps to calculating power

  1. Find the event that causes the test to reject Ho

  2. Find the probability of that event, given an alternative value of the parameter is true

4
New cards

Lower power

Larger σ means

5
New cards

Higher Power

Larger sample size means

6
New cards

Higher alpha level means

Higher Power

7
New cards

Higher power

Alternative further from Ho

8
New cards

Type 1 Error

Reject Ho, but Ho is true

9
New cards

Type 2 Error

Accept Ho, Ha is true

10
New cards

Alpha

Probability of a type 1 error

11
New cards

1-Power

Probability of a type 2 error

12
New cards

2 Samp-Z Test and Samp-Z Confidence Interval

σ1 and σ2 are known, x̄1-x̄2 follows a normal distribution

13
New cards

2 Samp-T Test and Samp T Confidence Interval

σ1 and σ2 are unknown, x̄1-x̄2 follows a t distribution

14
New cards

How to check for normality with a t distribution

Histogram shape for skewness

Comparative box Plot of Outliers

15
New cards

Independence within groups for a t model

Responses in each group are independent of each other

Simple Random Sample

Population is less than 10%

16
New cards

Matched Pairs test

What do you use if the groups are dependent

17
New cards

n<15

No Skewness or outliers

18
New cards

15<n<40

Some skewness but no outliers

19
New cards

n>40

No extreme skewness or outliers

20
New cards

Close to t-distribution

If we can’t assume equal population variance that means it is

21
New cards

Df when you have technology

(n1-1) + (n2-1)

22
New cards

Say yes to pooled

If equal variance

23
New cards

Yes

Do you always assume unequal variance?

24
New cards

Larger than

With pooled procedure the Degrees of Freedom is _____ than the Degrees of Freedom for Unequal Variance

25
New cards

Lower, narrower

Pooled procedures makes a ____ rejection rate and _____ interval

26
New cards

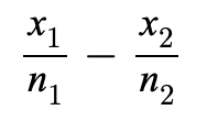
p1-p2

Parameter for Inference of 2 Proportions

27
New cards

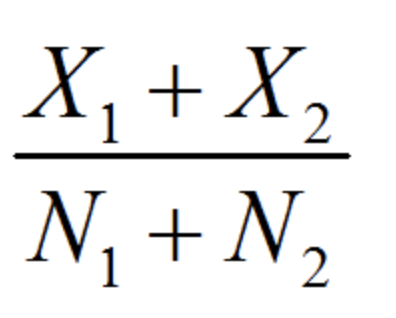
Statistic for 2-Samp Proportion Problem

<p></p>
28
New cards

Assumptions for Inference

  1. Sampling distribution of p̂1-p̂2 is normal

    1. Assess if the sample size is large enough to ensure normality

    2. n1p, n1(1-p̂p) and n2p, n2(1-p̂p)

  2. Independence within groups

    1. Are samples random and is n less than 10% of population

  3. Independence between groups.

    1. Responses in one group shouldn’t influence responses in other groups.

29
New cards

We don’t know the parameter p

Pool the sample proportion and replace the standard deviation with standard error if ____

30
New cards

How to check normality for 2-prop Z Int

Check n11, n1(1-p̂1) and n22, n2(1-p̂2) are all more than 10

31
New cards

p-hat of p (p̂p)

knowt flashcard image
32
New cards

Reject Ho

(p<alpha)

33
New cards

Fail to Reject Ho

(p>alpha)

Explore top flashcards