1/43
Looks like no tags are added yet.
Name | Mastery | Learn | Test | Matching | Spaced | Call with Kai |
|---|
No analytics yet
Send a link to your students to track their progress

kyselina 2 oxoglutarová

kyselina oxaloctová

ISO

glyceraldehyd

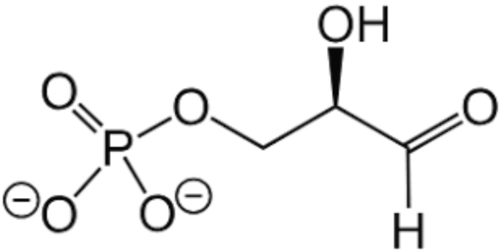
glyceraldehyd-3-
fosfát

dihydroxyaceton

dihydroxyacetonfosfat

erythrosa

Xylulosa


Ribulosa

glukosa-1-fosfát

glukosa-6-fosfát

fruktosa 6 fosfat

fruktóza-1,6-bisfosfát

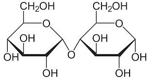
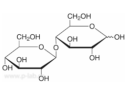
maltosa

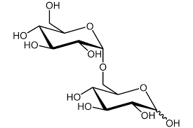
isomaltosa

laktosa

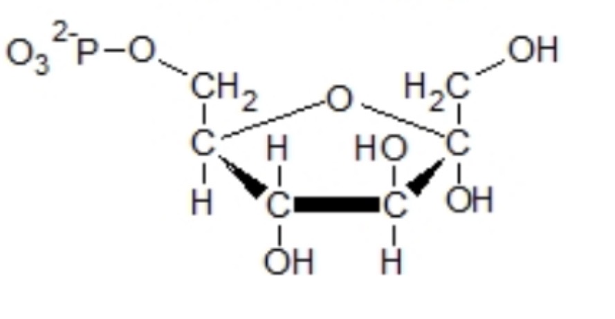
2 deoxy ribosa

sacharosa

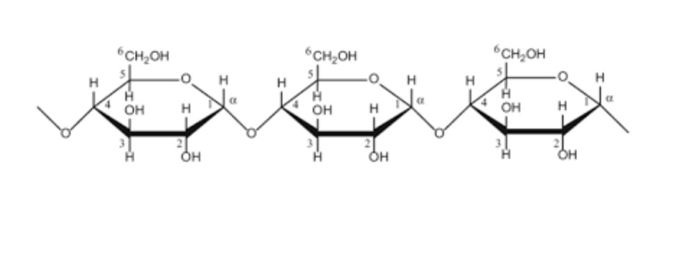
segment amylosy

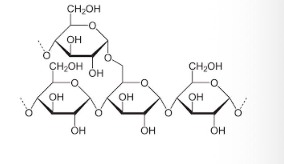
segment amylopektinu

segment celulosy


glycerol-3-fosfát

Ethanol


Aminoethanol

hydroxyprolin

Cholin

Nikotanimid

Hem

Cholesterol

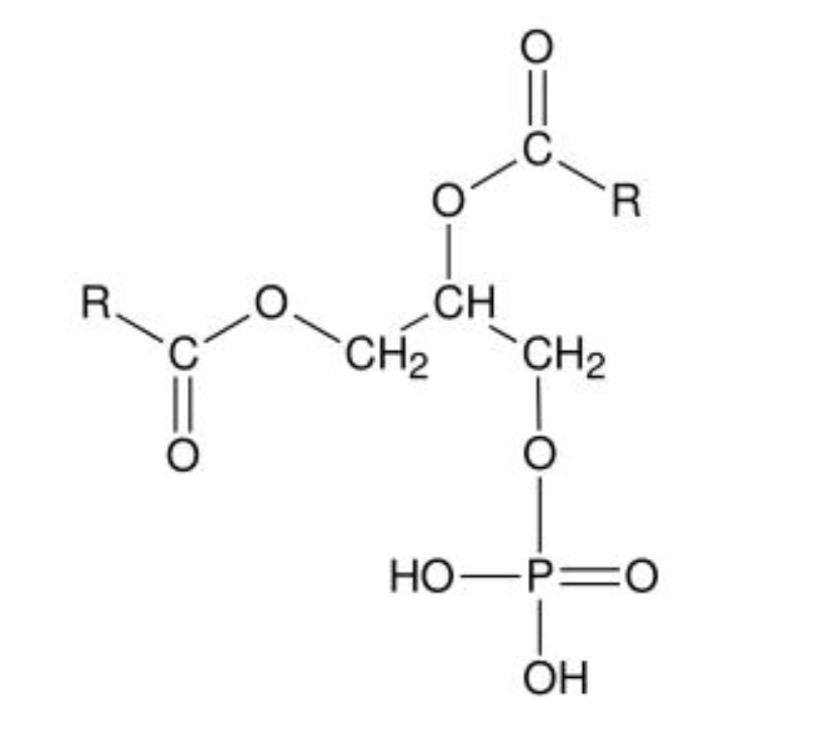
Kyselina fosfatidová

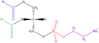
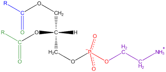
Fasfatidylkolamin(kefalin)


fosfatidylcholin(Lecithin)


ATP


ADP


AMP


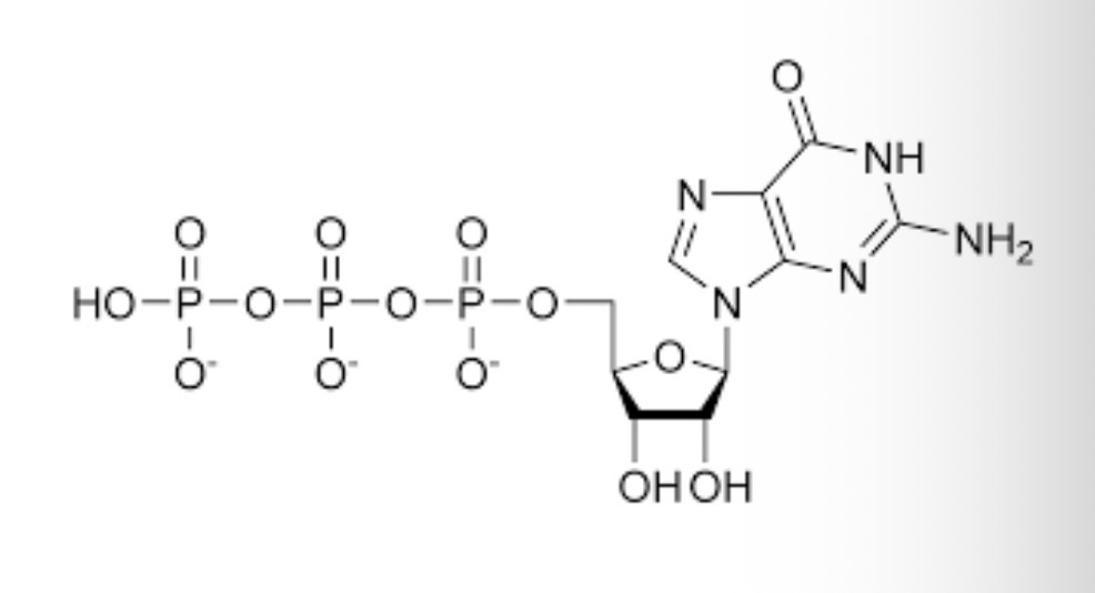
GTP


GDP

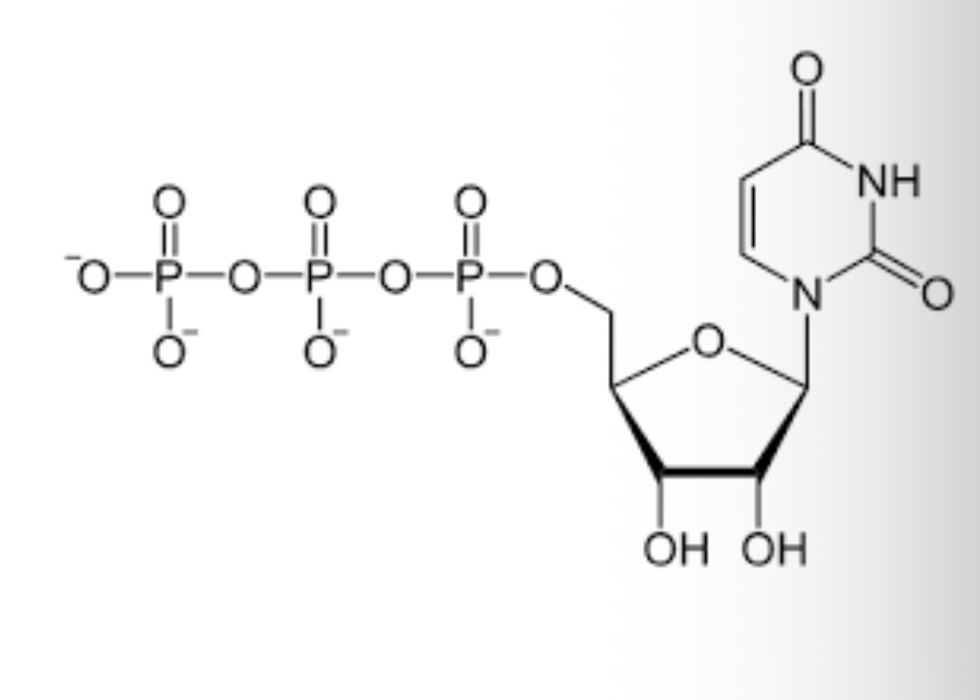
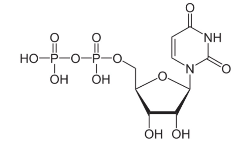
UTP

UDP

CTP

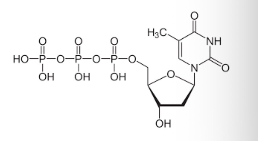
TTP

Beta alanin