 Call Kai
Call Kai Learn
Learn Practice Test
Practice Test Spaced Repetition
Spaced Repetition Match
Match1/10
https://cdn.savemyexams.com/uploads/2021/09/9MA0-A-level-Paper-1-pure-Maths-June-2019-MS.pdf
| Name | Mastery | Learn | Test | Matching | Spaced | 
|---|
No study sessions yet.

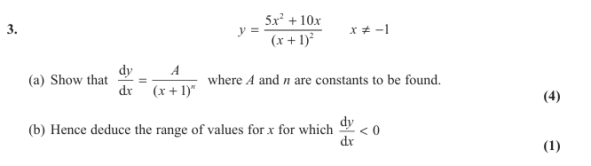
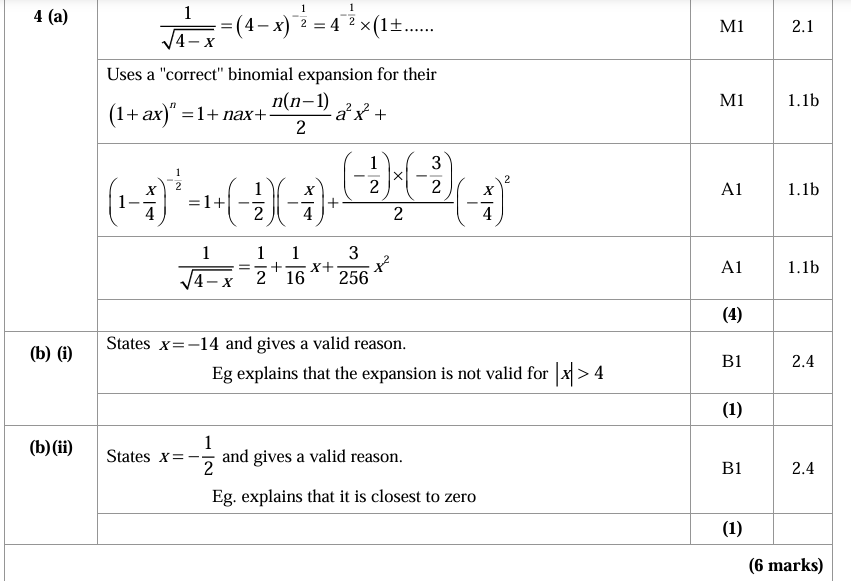
1


2


3


4






9MA0-A-level-Paper-1-pure-Maths-June-2019-MS.pdf







