Hypthoesis Testing

0.0(0)
studied byStudied by 0 people
0.0(0)
full-widthCall with Kai
GameKnowt Play
New
learnLearn
examPractice Test
spaced repetitionSpaced Repetition
heart puzzleMatch
flashcardsFlashcards
Card Sorting

1/7

encourage image

There's no tags or description

Looks like no tags are added yet.

Study Analytics
Name
Mastery
Learn
Test
Matching
Spaced

No study sessions yet.

8 Terms

1
New cards

Hypothesis Testing

Sample data is used to evaluate a hypothesis (a proposition on limited evidence) about a population

  • goal is to rule out sampling error -possibility of being the result for the research study

  1. A sample is selected from the population

  2. the treatment is administered to the sample

  3. after treatment, the individuals in the sample are measured

2
New cards

Hypothesis Testing (State the Hypothesis)

NULL Hypothesis: no change; no difference; the treatment has no effect

  • H_0: μ_apple a day = 6

ALTERNATIVE Hypothesis: a change; a difference; the treatment has an effect

  • H_1: μ_apple a day ≠ 6

3
New cards
  • Hypothesis Testing (Set the Criteria for a Decision)

α level: probability value your willing to accept or reject based on your α level

  • p-value > .05, retain H_0; Sample results are not extreme → there is not effect

example)

p-value = .12 (p is above α = .05), No effect (retain H_0)

.12 > .05

  • p-value ≤ .05, reject H_0; Sample results are extreme (critical region) → there is an effect

example)

p-value = .02 (p is below α = .05), Has effect (reject H_0)

.02 ≤ .05

Critical Region (for p-value → normals unit table): Danger Zone for results (area in the curve is so extreme, it’s beyond α = .05)

  • if sample land in this zone (inside) → reject H_0

  • if sample don’t land in this zone (outside) → retain H_0

4
New cards

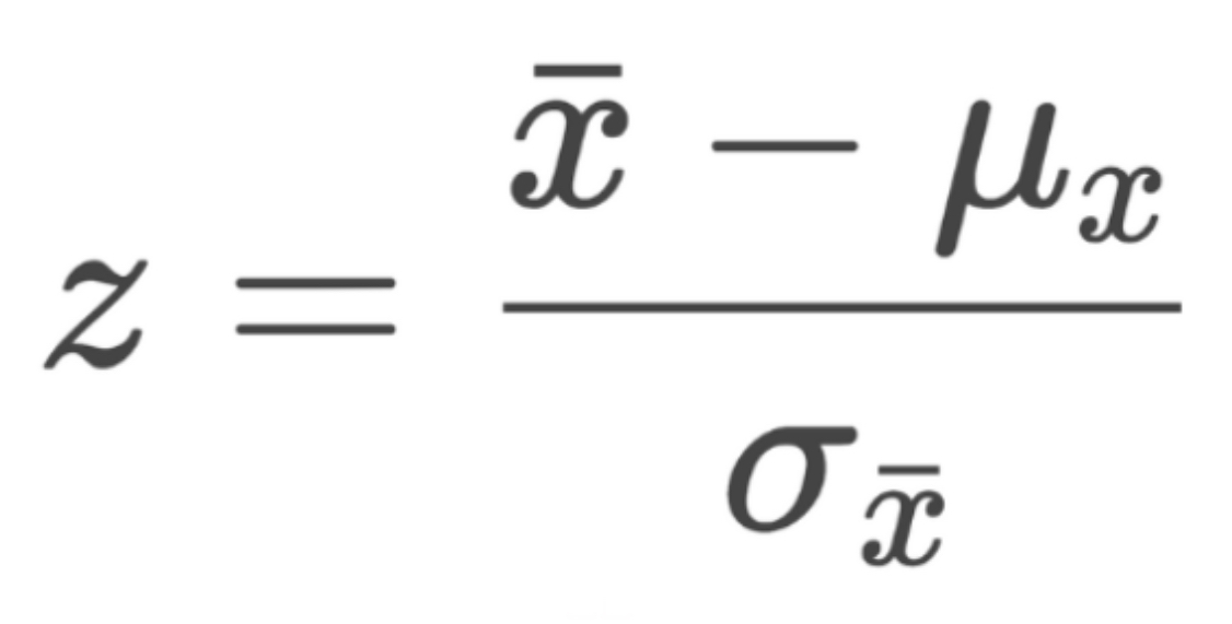
Hypothesis Testing (Collect Data and Compute Sample statistics)

  1. Summarise the data with appropriate descriptive statistics (i.e., mean)

  2. After, compare sample mean with population mean via z-Score (FORMULA [z-Score for a sample mean; test how far sample mean is from population mean] SHOWN IN IMAGE)

<ol><li><p>Summarise the data with appropriate descriptive statistics (i.e., mean)</p></li><li><p>After, compare sample mean with population mean via z-Score (FORMULA [z-Score for a sample mean; test how far sample mean is from population mean] SHOWN IN IMAGE)</p></li></ol><p></p>
5
New cards

When H_0 (no change) is TRUE

  • APPROVE H_0 → Correct decision (yay!)

  • REJECT H_0 → Type I Error [P(Type I Error) =α] → saying there’s a change when there isn’t

6
New cards

When H_1 (change) is TRUE

  • APPROVING H_1 → Correct decision (yay!)

  • REJECTING H_1 → Type II Error [P(Type II Error) = β] → Saying there’s isn’t a change when there is

7
New cards

Directional (one-tailed) Hypothesis Tests

Statistical Hypothesis H_0 and H_1 specify either an increase or decrease in the population mean score

  • make a statement about the direction of the effect

  • z cutoff for a one tailed test is + or -

8
New cards

Power of a Hypothesis Test

defined as the probability that the test will either accept or reject H_0

FACTORS EFFECTING POWER:

  • Sample size

  • Alpha level

  • One-tailed versus two-tailed test

Explore top flashcards

Unit 11: Evolution
Updated 861d ago
flashcards Flashcards (95)
Biology Test 2
Updated 712d ago
flashcards Flashcards (24)
Unit 6 MWH
Updated 993d ago
flashcards Flashcards (28)
CRIM EXAM 2
Updated 733d ago
flashcards Flashcards (113)
Unit 11: Evolution
Updated 861d ago
flashcards Flashcards (95)
Biology Test 2
Updated 712d ago
flashcards Flashcards (24)
Unit 6 MWH
Updated 993d ago
flashcards Flashcards (28)
CRIM EXAM 2
Updated 733d ago
flashcards Flashcards (113)