1/83
Looks like no tags are added yet.
Name | Mastery | Learn | Test | Matching | Spaced | Call with Kai |
|---|
No analytics yet
Send a link to your students to track their progress
Research should be guided by theory because they:
Explain multiple phenomena simultaneously
Make specific, testable predictions
Understand the generalizability of an explanation
Empiricism and Nuture
All knowledge comes from experience
Babies are blank slates = Tabula rasa
Nativism and Nature
Babies are endowed with knowledge and capabilities
Maturation unfolding
Early Psychology research followed:
Empiricist tradition → behaviorism
Classic Conditioning
A neutral stimulus can take on a new meaning and lead to a different (conditioned) response after being paired with a meaningful stimulus
Operant Conditioning
behaviors are modified through reinforcement or punishment
reinforcement through rewards
Sleep Associations
work like classical conditioning
Chomsky’s “Poverty of the stimulus” argument
It would be impossible for children to learn language from impoverished & error-laden speech available to them
When Nativist and Constructivist views grew
Empiricist traditions decreased or disappeared
Constructivism
Emphasis on children’s active role in their own learning
Piaget’s stage Theory: Describe and explain development
Piaget’s Stage Theory
Stage 1: Sensorimotor Period
Stage 2: Preoperational Period
Stage 3: Concrete Operational Period
Stage 4: Formal Operational Period
Emphasized qualitative change
Schema: cognitive representation of the world; how people organize & understand information
Stage 1
Sensorimotor Period
birth - 2 years
Schemas are limited to sensory experience
No mental representations
Stage 2
Preoperational Period
2-7 years
Emergence of Mental Representations:
Symbolic play
Deferred imitation
Object Permanence
Stage 3
Concrete Operational Period
7 - 11 Years
Emergence of Logical Mental Operations:
Flexible thinking
But, still restricted to concrete experiences
Stage 4
Formal Operational Period
11 Years +
Capable of Abstract thought:
Logical reasoning
Problem solving beyond concrete experience
4 key processes between Piaget’s theory
Assimilation
Equilibrium and Disequilibrium
Accommodation
Assimilation
Incorporate new information into an existing schema

Disequilibrium

How to rectify disequilibrium and return to equilibrium (reference to thinking whale is fish)
Schema: Things that live in the water are fish
maybe my schema is right and the thing i saw doesn’t live in the water
or
maybe my schema is wrong
change schema to fit new reality
Lev Vygotsky
Thought Piaget overlooked social interactions
skills are difficult to master but can be done with guidance from mentor
argued learning occurs with guidance from others
Symbolic Understanding
Symbols: Something that stand for something else
Dual representation: when the symbol itself is a thing, like an object
Mental Representation
being able to hold and manipulate objects and events in mind
Deferred Imitation
copying another person’s actions later, hours or days after the child witnessed the actions
involves memory
Displaced reference
When children understand and use words to refer to things that are not present
Important for language development and pretend play
Objects permanence
Understanding an object continues to exist, even when you don’t see it
Egocentrism
The tendency of children to believe that other people view the world from their perspective
Piaget believe not until age Concrete Operational stage (age 7)
Piaget overestimated children’s difficulties and are likely to demonstrate some ability early, (3 or 4 yr old)
Failing Conservation tasks
Pre-operational thinking (early childhood)
Error: centration focusing on only one dimension
Decentration
The ability to focus on more than one part of a problem, situation, or object
Reversibility
Realization that objects/things can be changed or returned to their original state
Classification is not straight forward
Preoperational stage, cannot think about larger categories
requires thinking about sets and subsets

Mental Operations require
Reversibility & Classification
10 wooden bead problem example
Deductive Reasoning
difficult until 11+
Focus on what they know or have experience with
instead of the logical premise involved in the problem
Issues with Piaget’s approach
All-or nothing stage theory: children dont cleanly go from one stage to another
Piaget underestimated the abilities of infants and children. Relied on complicated tasks that children fail for other reasons
Process
Challenges to Piaget’s Conclusions
Dynamic Systems theorists
Information-processing theorists
Nativists
Dynamic Systems theorists
wanted more emphasis on in-the-moment contextual influences, rather than mental representations
changing features of the experimental context dramatically changes behavior
Information-processing theorists
posit gradual developmental changes, rather than qualitative stages
Nativists
Piaget underestimated infants’ cognitive ability
other methods show infants do have mental representations, before Piaget believed
Rise of Nativism
observations show:
Young children are the most effective learners on earth
It would be impossible for children to learn so rapidly from impoverished & error laden input available to them
Core Knowledge Theory
Modern and dominant nativist theory
“Children learn fast and flexibly, because they are endowed with at least six cognitive systems that capture fundamental properties of the things they learn about”
Expectation paradigm
watching an event, and having a certain expectation

Violation expectation paradigm
Infants will look at the unexpected event longer

Core Knowledge: Objects
Infants have innate knowledge or capacity to learn physical properties of objects
Principles of persistence: Idea that objects retain physical properties over time
Principles of Persistence
Permanence: objects continue to exist when they aren’t visible
Cohesion: Objects should hold together, or retain their physical properties over time
Continuity: objects should move long continuous paths in time and space
Gravity, support, and contact: objects cannot move on their own or support themselves, only with contact/support
Property: Solidity
Expectation: object is solid

Property: Height/size
Idea that objects retain physical properties, such as height

Complexity of support understanding
Infants understand that objects:
3 months: cannot float in mid air
5 months: type of contact matters
6.5 months: Amount of contact matters
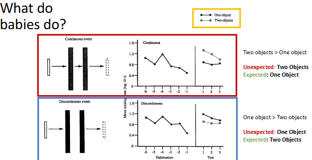
Two objects or one object

Core Knowledge Theory
Children learn fast and flexibly because they are endowed with at least six cognitive systems:
Objects, Numbers, Places, Geometry Agents, Social Beings
Number Knowledge: Two sources of numerical information in infancy
Core Object System
Core Number System
Core Object System
Supports rapid determination of the exact number of objects up to a capacity limit of about three
Core Number System
Represents approximate (or imprecise) numerical sizes of sets, in any perceptual modality (e.g., visual sets of objects, number of tones heard, number of ridges felt)
Infant tracking small sets
They can track small exact number of objects, events, & actions
Infants & small, exact numbers
Infants can track up to three objects
quick and automatic
precise: exactly 1, exactly 2, or exactly 3
Due to core object system
called Subitizing
Infants & Large, Approximate Quantities
Infants, non-human animals, and human adults across cultures can represent large sets
occurs quickly and automatically
is approximate: follows weber’s law
ANS can support approximate arithmetic (adding, dividing, and subtracting)
Navigation
Spatial navigation of our local environment is critical for most species and virtually all of history
Navigation tools (Descriptors)
Landmarks
Spatial structure
Room structure
Reorientation: Children & Rats
Children (and rats) only use distance and direction of walls, not landmarks to reorient
children do not use landmarks when disoriented
Executive Functions (EF)
Collection of skills involved in controlling and coordinting attentiomn, memory, and other behaviors involved in goal-directed actions
A control system - not specific content knowledge
Processes within EF:
Working memory: Holding and manipulating information in mind
Inhibitory control: Controlling attention to override impulses
Cognitive flexibility: Shifting rules, perspectives, or strategies
Working Memory
Children’s ability to hold and manipulate items in mind
Measured through reverse digit span task
Given set of digits, repeat them backwards
Capacity grows from infancy → early childhood → Adolescence
Changes from from shifts in strategy
Inhibitory Control
Children’s ability to respond appropriately to a stimulus while inhibiting an alternative, dominant response
Improvement from 3-5 yrs old
Cognitive Flexibility
Children’s ability to adapt to changing circumstances, such as switching between rules and tasks
Improvement around 4 years old
Developmental change in EF
Infancy:
Early precursors (e.g., basic attention regulation)
Toddlerhood/preschool years
Rapid growth
High variability across people and contexts
Middle childhood:
More efficient, more integrated, better strategies
Large effect of schooling and social expectation
Key principles: Gradual, non-linear, and context dependent
EF Correlation
EF associated with long term life outcomes
Associated with better math skills
correlated with more effective resolving of peer conflict
attention span
EF and culture values
Treating one experience of self-control as universal, risk labeling difference as deficit