1/103
Looks like no tags are added yet.
Name | Mastery | Learn | Test | Matching | Spaced | Call with Kai |
|---|
No analytics yet
Send a link to your students to track their progress

KYSELINA OCTOVÁ

KYSELINA PROPIONOVÁ

KYSELINA MÁSELNÁ

KYSELINA VALEROVÁ
6 uhlíků
KYSELINA KAPRONOVÁ

4 uhlíky + 1 dvojná vazba
KYSELINA FUMAROVÁ

KYSELINA FUMAROVÁ
KYSELINA JANTAROVÁ

KYSELINA JANTAROVÁ

KYSELINA GLUTAROVÁ

KYSELINA GLUTAROVÁ

12C
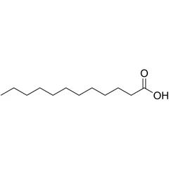
KYSELINA LAUROVÁ

14C
KYSELINA MYRISTOVÁ

KYSELINA PALMITOVÁ

KYSELINA PALMITOVÁ

KYSELINA STEAROVÁ

18C + 1 dvojná vazba
KYSELINA OLEJOVÁ

18C + 2 dvojné vazby
KYSELINA LINOLOVÁ

18C + 3 dvojné vazby
KYSELINA LINOLENOVÁ

KYSELINA ARACHIDONOVÁ

KYSELINA PYROHROZNOVÁ

KYSELINA PYROHROZNOVÁ

KYSELINA 2-OXOGLUTAROVÁ

KYSELINA OXALOCTOVÁ

KYSELINA MLÉČNÁ

KYSELINA MLÉČNÁ

KYSELINA JABLEČNÁ
KYSELINA CITRONOVA
KYSELINA ISOCITRONOVA
KYSELINA ISOCITRONOVA

GLYCERALDEHYD

GLYCERALDEHYD-3-FOSFÁT

dihydroxyaceton

dihydroxyacetonfosfát

erythrosa

xylosa

xylulosa

ribosa

Na 2. uhlíku chybí –OH skupina
2-deoxyribosa

ribulosa

glukosa

glukosa-1-fosfat

galaktosa

fruktosa

glu+glu
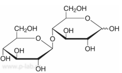
maltosa

isomaltosa

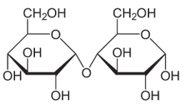
laktosa

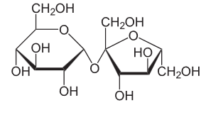
sacharóza

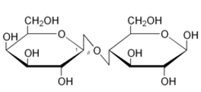
celobiosa

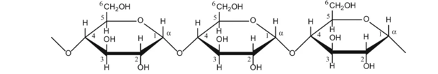
segment amylozy

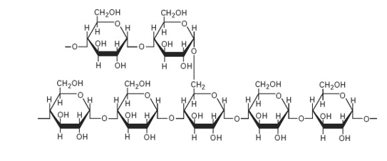
segment amylopektinu

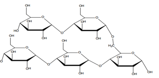
segment glykogenu

glycerol

glycerol

glycerol

glycerol-3-fosfát

ethanol

ethanol

2- aminoethanol (kolamin)

2- aminoethanol (kolamin)

acetaldehyd

aceton

aceton

formaldehyd

močovina

ornitin

hydroxyprolin

hem

nikotinamid

purin

pyrimidin

cholesterol





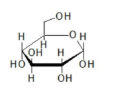
alfa-D-glukopyranosa

kyselina fosfatidová

adenin

guanin

cytosin

thymin

uracil

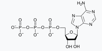
ATP

glycin

glycin

alanin
alanin

valin

leucin

cystein

isoleucin

fenylalanin

prolin

methionin

histidin

serin

threonin

tyrosin

asparagin

glutamin

tryptofan