1/3
Looks like no tags are added yet.
Name | Mastery | Learn | Test | Matching | Spaced |
|---|
No study sessions yet.

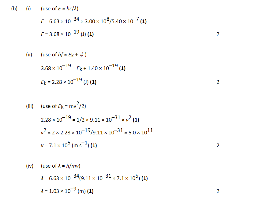
Photoelectric 6 mark question
Answer


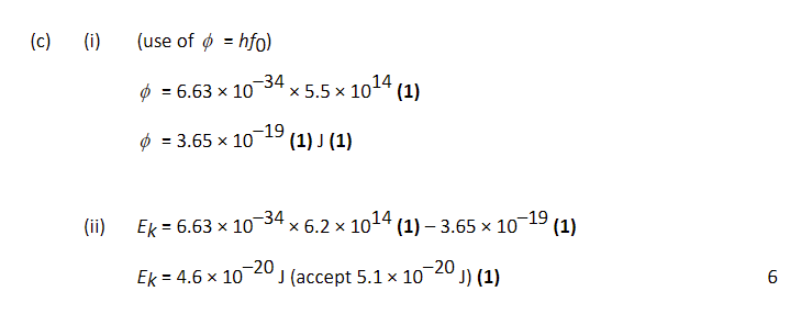
6 marker on photoelectric effect
Answer


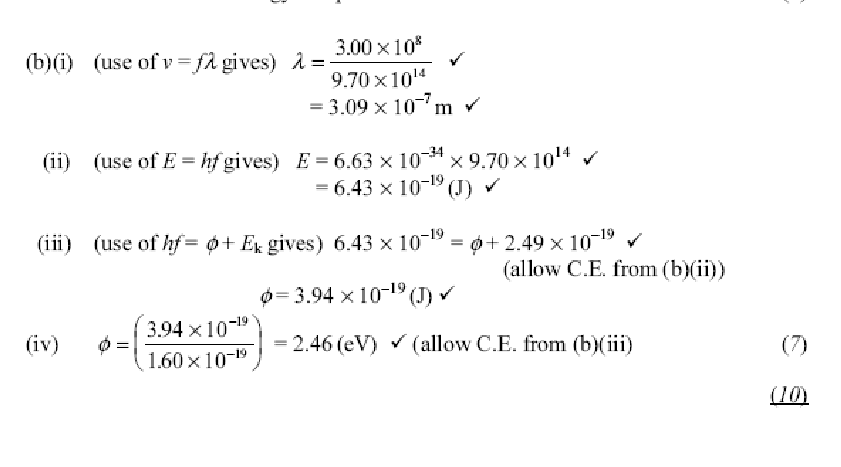
7 marker on photoelectric effect
Answer


1)Determine the number of photoelectrons per second leaving the photoemissive surface when the current is a maximum.
2)Explain why I reaches a constant value for positive values of V
3)Explain why I decreases as the value of V becomes more negative..
4)The investigation is repeated with a different photoemissive surface that has a smaller value of the work function. The source of electromagnetic radiation is unchanged.
Discuss the effect that this change in surface has on the value of the stopping potential.
1)Evidence of use of maximum current ÷ charge on electron Answer=1.9 × 10^14. (electrons per second).
2)Number of photoelectrons released (per second) depends on intensity of em radiation/number of (incident) photons (per second) (not pd.)
Constant current reached when all photoelectrons released (each second) reach anode.
3)photoelectrons are released with a range of KE.
When V is negative photoelectrons lose KE.
(As V is increasingly negative) fewer of the photoelectrons (released per second) have sufficient (initial) KE to cross to anode (as a result current decreases).
4)Stopping potential related to maximum kinetic energy of photoelectrons/ KEmax = eVs.
KE increases as the work function is lower for the new metal and radiation stays the same.
So stopping potential increases.