1/19
Looks like no tags are added yet.
Name | Mastery | Learn | Test | Matching | Spaced | Call with Kai |
|---|
No analytics yet
Send a link to your students to track their progress
Glycine (GLY, G)

Alanine (Ala, A)

Valine (Val, V)

Leucine (Leu, L)

Isoleucine (Ile, I)

Methionine (Met, M)

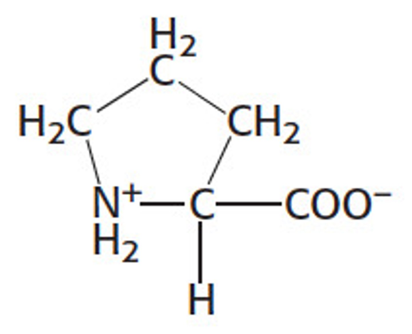
Proline (Pro, P)

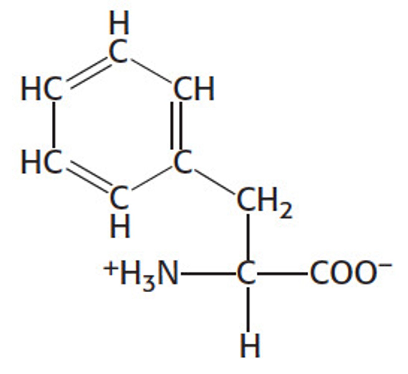
Phenylalanine (Phe, F)

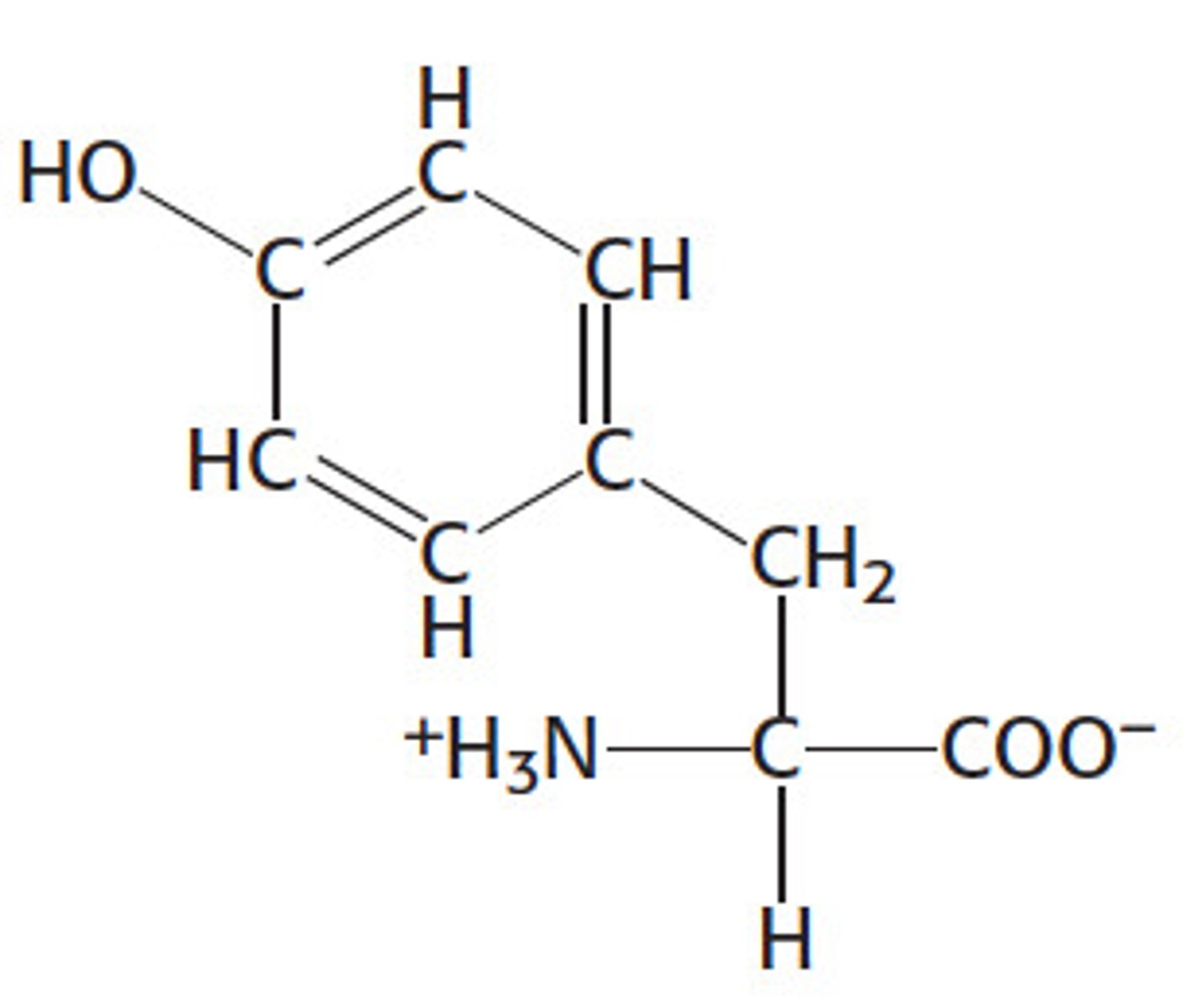
Tyrosine (Tyr, Y)

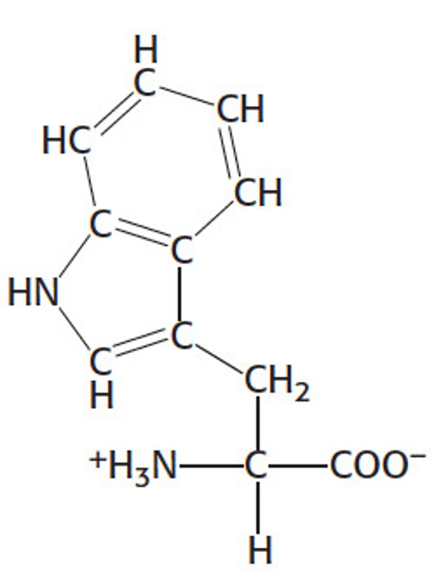
Tryptophan (Trp, W)

Serine (Ser, S)

Threonine (Thr, T)

Asparagine (Asn, N)

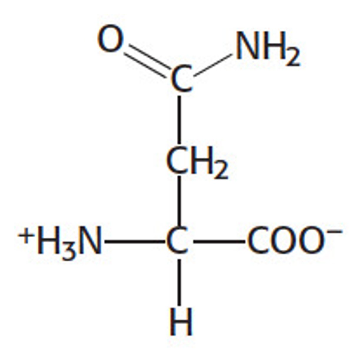
Glutamine (Gln, Q)

Cysteine (Cys, C)

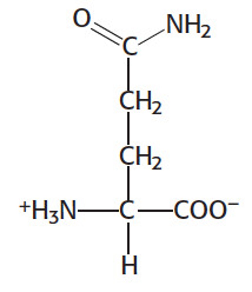
Lysine (Lys, K)

Arginine (Arg, R)

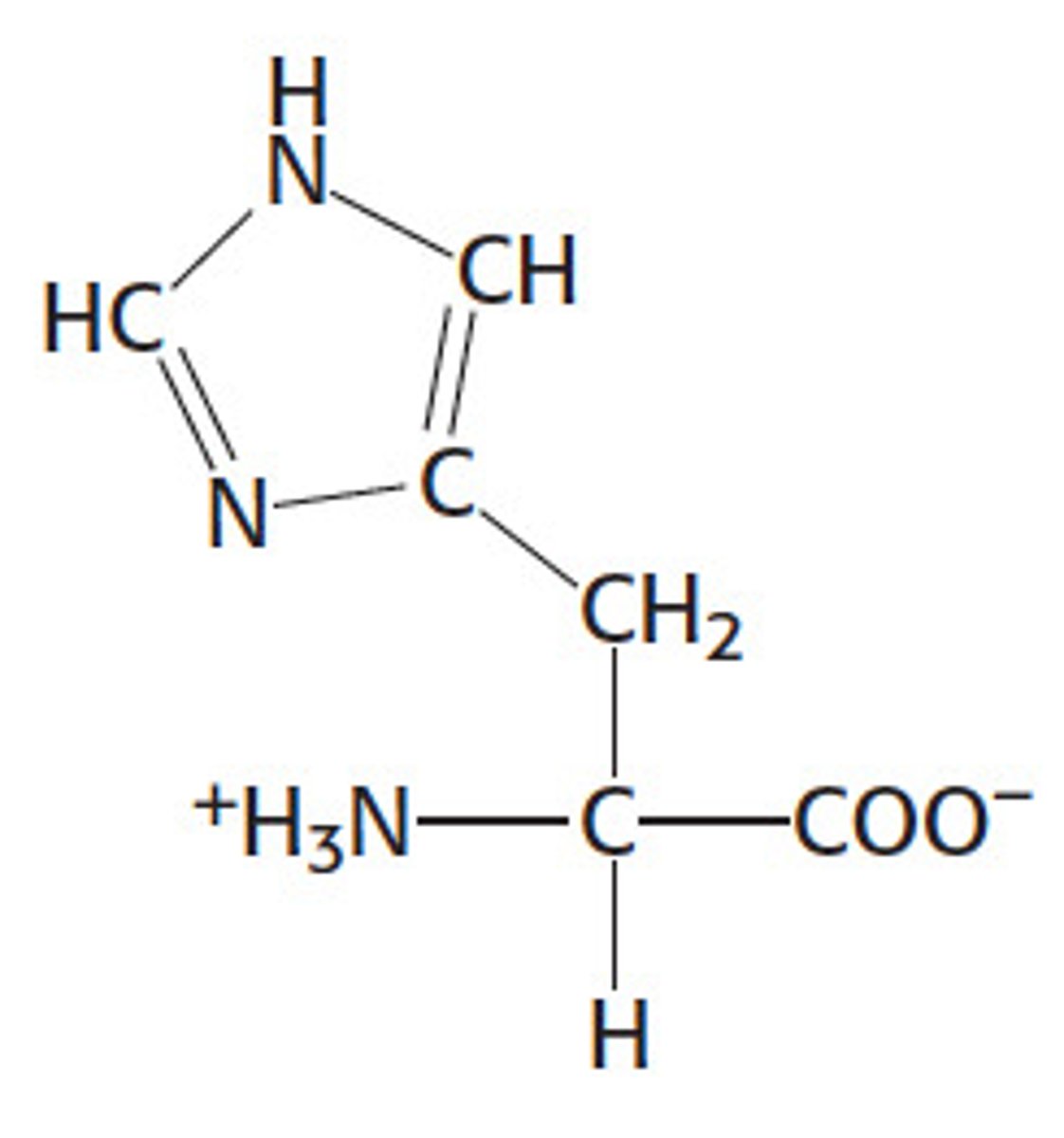
Histidine (His, H)

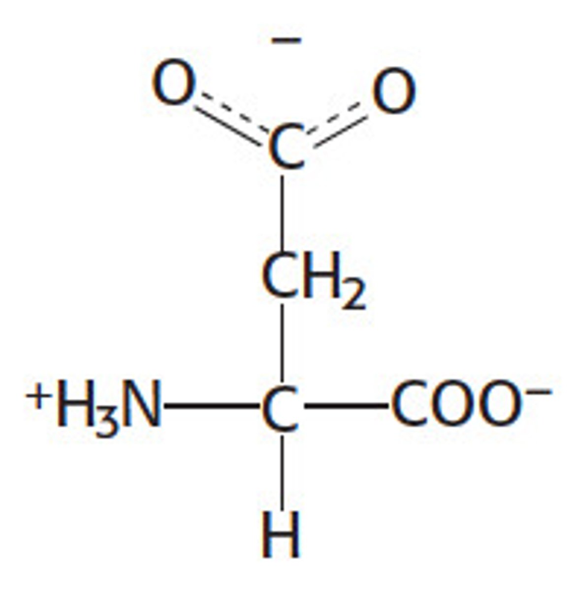
Aspartate (Asp, D)

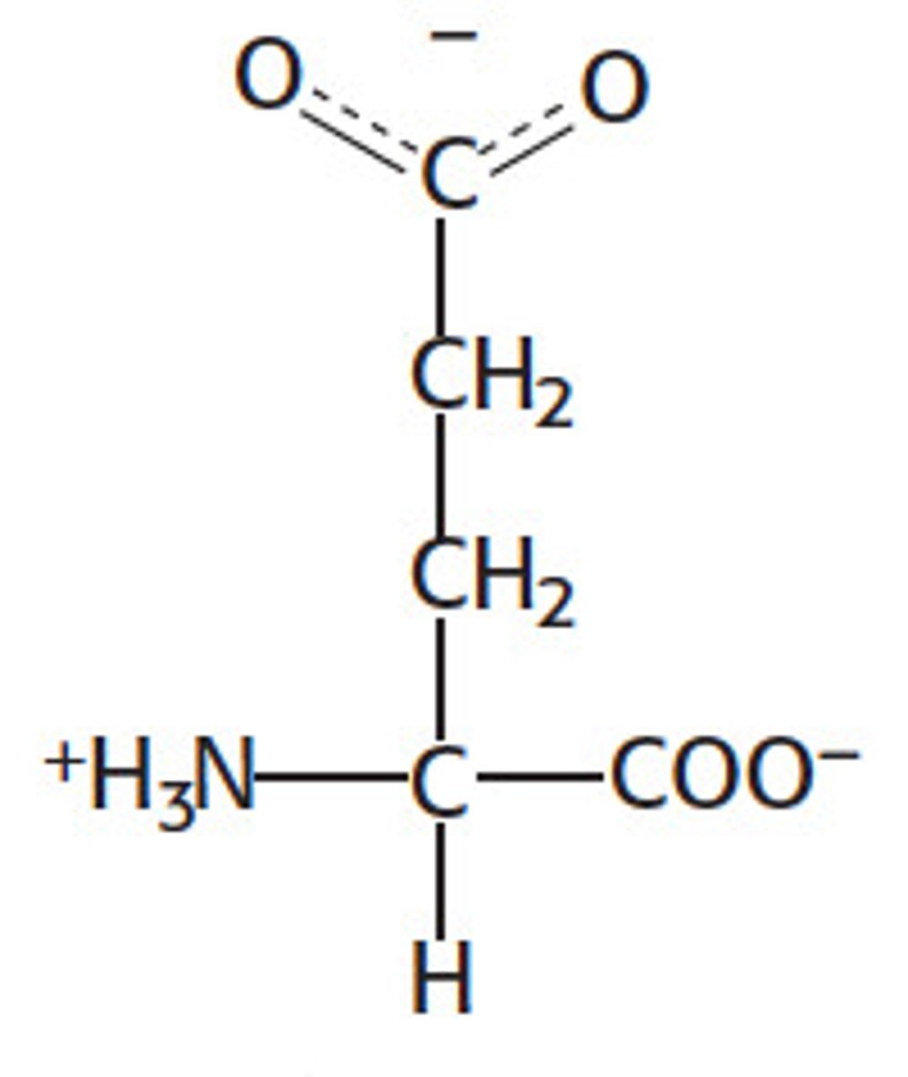
Glutamate (Glu, E)
