1/16
Looks like no tags are added yet.
Name | Mastery | Learn | Test | Matching | Spaced |
|---|
No study sessions yet.

What is this?
Protein

What is this?
Protein

What is this?
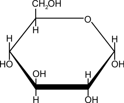
Carbohydrate

What is this
Lipid

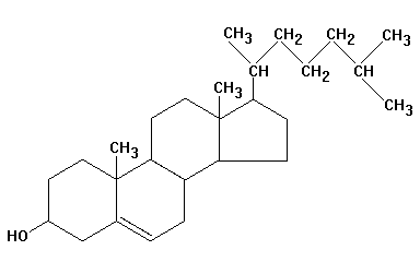
What is this?
Lipid

What is this?
Lipid

What is this?
Nucleic Acid
Totipotent Stem Cell
Can become any kind of body cell including an organism
Pluripotent Stem Cell
Can become any kind of body cell
Multipotent Stem Cell
Can become any closely related body cell
Central Nervous System
Controlled by brain & spinal cord
Peripheral Nervous System
All nerves & action outside of brain & spinal control

Please Note
Noted!

Sensory neurons detect
touch, smell, sounds, sights, and taste

Interneurons
connect neurons within the central nervous system and peripheral nervous system (sensory neurons to motor neurons)

Motor Neurons
connect to an effector cell (does something in response like muscle or gland)
Hypothalamus controls
temp, hunger, & thirst - the control center